【Java数据结构】二叉树-CSDN博客

85 阅读7分钟

二叉树

树型结构

概念

树是一种非线性的数据结构,它是由n(n>=0)个有限结点组成一个具有层次关系的集合。把它叫做树是因为它看起来像一棵倒挂的树,也就是说它是根朝上,而叶朝下的。

有一个特殊的结点,称为根结点,根结点没有前驱结点

除根结点外,其余结点被分成M(M > 0)个互不相交的集合T1、T2、…、Tm,其中每一个集合Ti (1 <= i <=m) 又是一棵与树类似的子树。每棵子树的根结点有且只有一个前驱,可以有0个或多个后继

树是递归定义的。

在这里插入图片描述
注意:树形结构中,子树之间不能有交集,否则就不是树形结构

树中的概念

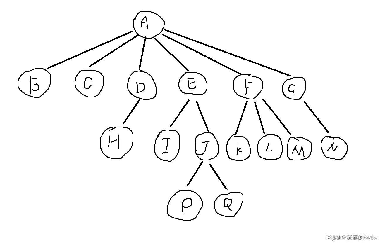
在这里插入图片描述
结点的度:一个结点含有子树的个数称为该结点的度; 如上图:A的度为6
树的度:一棵树中,所有结点度的最大值称为树的度; 如上图:树的度为6
叶子结点或终端结点:度为0的结点称为叶结点; 如上图:B、C、H、I…等节点为叶结点
双亲结点或父结点:若一个结点含有子结点,则这个结点称为其子结点的父结点; 如上图:A是B的父结点
孩子结点或子结点:一个结点含有的子树的根结点称为该结点的子结点; 如上图:B是A的孩子结点
根结点:一棵树中,没有双亲结点的结点;如上图:A
结点的层次:从根开始定义起,根为第1层,根的子结点为第2层,以此类推
树的高度或深度:树中结点的最大层次; 如上图:树的高度为4
非终端结点或分支结点:度不为0的结点; 如上图:D、E、F、G…等节点为分支结点
兄弟结点:具有相同父结点的结点互称为兄弟结点; 如上图:B、C是兄弟结点
堂兄弟结点:双亲在同一层的结点互为堂兄弟;如上图:H、I互为兄弟结点
结点的祖先:从根到该结点所经分支上的所有结点;如上图:A是所有结点的祖先
子孙:以某结点为根的子树中任一结点都称为该结点的子孙。如上图:所有结点都是A的子孙
森林:由m(m>=0)棵互不相交的树组成的集合称为森林

树的表现形式

树结构相对线性表就比较复杂了,要存储表示起来就比较麻烦了,实际中树有很多种表示方式,如:双亲表示法,孩子表示法、孩子双亲表示法、孩子兄弟表示法等等。我们这里就简单的了解其中最常用的孩子兄弟表示法。

class Node {
	int value; // 树中存储的数据
	Node firstChild; // 第一个孩子引用
	Node nextBrother; // 下一个兄弟引用
}

在这里插入图片描述

二叉树

一棵二叉树是结点的一个有限集合,该集合:

  1. 或者为空
  2. 或者是由一个根节点加上两棵别称为左子树和右子树的二叉树组成。
    在这里插入图片描述
    从上图可以看出:
  3. 二叉树不存在度大于2的结点
  4. 二叉树的子树有左右之分,次序不能颠倒,因此二叉树是有序树

注意:对于任意的二叉树都是由以下几种情况复合而成的:
在这里插入图片描述

两种特殊的二叉树

  1. 满二叉树: 一棵二叉树,如果每层的结点数都达到最大值,则这棵二叉树就是满二叉树。也就是说,如果一棵二叉树的层数为K,且结点总数是 ,则它就是满二叉树。
  2. 完全二叉树: 完全二叉树是效率很高的数据结构,完全二叉树是由满二叉树而引出来的。对于深度为K的,有n个结点的二叉树,当且仅当其每一个结点都与深度为K的满二叉树中编号从0至n-1的结点一一对应时称之为完全二叉树。 要注意的是满二叉树是一种特殊的完全二叉树。
    在这里插入图片描述

二叉树的性质

  1. 若规定根结点的层数为1则一棵非空二叉树的第i层上最多有 (i>0)个结点
  2. 若规定只有根结点的二叉树的深度为1,则深度为K的二叉树的最大结点数是 (k>=0)
  3. 对任何一棵二叉树, 如果其叶结点个数为 n0, 度为2的非叶结点个数为 n2,则有n0=n2+1
  4. 具有n个结点的完全二叉树的深度k为在这里插入图片描述
    向上取整
  5. 对于具有n个结点的完全二叉树,如果按照从上至下从左至右的顺序对所有节点从0开始编号,则对于序号为i的结点有:

若i>0,双亲序号:(i-1)/2;i=0,i为根结点编号,无双亲结点
若2i+1<n,左孩子序号:2i+1,否则无左孩子
若2i+2<n,右孩子序号:2i+2,否则无右孩子

二叉树的存储

二叉树的链式存储是通过一个一个的节点引用起来的,常见的表示方式有二叉和三叉表示方式,具体如下:

// 孩子表示法
class Node {
	int val; // 数据域
	Node left; // 左孩子的引用,常常代表左孩子为根的整棵左子树
	Node right; // 右孩子的引用,常常代表右孩子为根的整棵右子树
}
// 孩子双亲表示法
class Node {
	int val; // 数据域
	Node left; // 左孩子的引用,常常代表左孩子为根的整棵左子树
	Node right; // 右孩子的引用,常常代表右孩子为根的整棵右子树
	Node parent; // 当前节点的根节点
}

二叉树基本操作

// 获取树中节点的个数
int size(Node root);
// 获取叶子节点的个数
int getLeafNodeCount(Node root);
// 子问题思路-求叶子结点个数
// 获取第K层节点的个数
int getKLevelNodeCount(Node root,int k);
// 获取二叉树的高度
int getHeight(Node root);
// 检测值为value的元素是否存在
Node find(Node root, int val);
//层序遍历
void levelOrder(Node root);
// 判断一棵树是不是完全二叉树
boolean isCompleteTree(Node root);

     //前序遍历
    public void preOrder(treeNode root) {
        if (root == null) return;
        System.out.print(root.val + " ");
        preOrder(root.left);
        preOrder(root.right);
        //前序遍历 先打印根节点 在打印左节点 在打印右节点
        //将大问题拆分成小问题 递归解决
    }

    //中序遍历
    public void inOrder(treeNode root) {
        if (root == null) return;
        inOrder(root.left);
        System.out.print(root.val + " ");
        inOrder(root.right);
    }

    //后序遍历
    public void postOrder(treeNode root) {
        if (root == null) return;
        inOrder(root.left);
        inOrder(root.right);
        System.out.print(root.val + " ");
    }

    public int usedSize = 0;

    //获取树中的节点个数
    public int size(treeNode root) {
        if (root == null) {
            return 0;
        }
        usedSize++;
        size(root.left);
        size(root.right);
        return usedSize;
    }

    public int size2(treeNode root) {
        if (root == null) {
            return 0;
        }
        return size2(root.left) + size2(root.right) + 1;
        //返回值+1是因为要加上根节点
    }

    //获取叶子节点的个数
    public int LeafNodeCount = 0;

    public int getLeafNodeCount(treeNode root) {
        if (root == null) {
            return 0;
        }
        if (root.left == null && root.right == null) {
            LeafNodeCount ++;
        }
        getLeafNodeCount(root.left);
        getLeafNodeCount(root.right);

        return LeafNodeCount;
    }
    public int getLeafNodeCount2(treeNode root){
        if(root == null){
            return 0;
        }
        if (root.left == null && root.right == null){
            return 1;
            //如果是叶子节点 就返回1
        }
        return getLeafNodeCount2(root.left) + getLeafNodeCount2(root.right);
        //返回左树叶子节点的个数和右树叶子节点的个数
    }

    //获取第k层节点的个数
    public int getLevelNodeCount(treeNode root, int k){
        if (root == null){
            return 0;
        }
        if (k == 1){
            return 1;
            //第一层只有一个节点;
        }
        return getLevelNodeCount(root.left, k - 1) + getLevelNodeCount(root.right, k - 1);
    }
    //获取二叉树的高度
    public int getHigh(treeNode root){
        if(root == null){
            return 0;
        }
        int leftHight = getHigh(root.left);
        int rightHight = getHigh(root.right);
        return Math.max(leftHight,rightHight) + 1;
    }

    public int getHigh2(treeNode root){
        if(root == null){
            return 0;
        }
        return Math.max(getHigh2(root.left) , getHigh2(root.right)) + 1;
    }