ContentProvider初探-CSDN博客

126 阅读5分钟

引言

我们什么时候 会用到ContentProvider呢?

  • 1.我们想在自己的应用中访问别的应用,或者说一些ContentProvider暴露给我们的一些数据, 比如手机联系人,短信等!我们想对这些数据进行读取或者修改,这就需要用到ContentProvider了!
  • 2.我们自己的应用,想把自己的一些数据暴露出来,给其他的应用进行读取或操作,我们也可以用 到ContentProvider,另外我们可以选择要暴露的数据,就避免了我们隐私数据的的泄露!

概念

这里写图片描述

使用系统提供的ContentProvider

其实很多时候我们用到ContentProvider并不是自己暴露自己的数据,更多的时候通过 ContentResolver来读取其他应用的信息,最常用的莫过于读取系统APP,信息,联系人, 多媒体信息等!如果你想来调用这些ContentProvider就需要自行查阅相关的API资料了! 另外,不同的版本,可能对应着不同的URL!这里给出如何获取URL与对应的数据库表的字段, 这里以最常用的联系人为例,其他自行google~

  • ①来到系统源码文件下:all-src.rar -> TeleponeProvider -> AndroidManifest.xml查找对应API
  • ②打开模拟器的file exploer/data/data/com.android.providers.contacts/databases/contact2.db 导出后使用SQLite图形工具查看,三个核心的表:raw_contact表,data表,mimetypes表!
    下面演示一些基本的操作示例:

1)简单的读取收件箱信息

核心代码:

private void getMsgs(){
    Uri uri = Uri.parse("content://sms/");
    ContentResolver resolver = getContentResolver();
    //获取的是哪些列的信息
    Cursor cursor = resolver.query(uri, new String[]{"address","date","type","body"}, null, null, null);
    while(cursor.moveToNext())
    {
        String address = cursor.getString(0);
        String date = cursor.getString(1);
        String type = cursor.getString(2);
        String body = cursor.getString(3);
        System.out.println("地址:" + address);
        System.out.println("时间:" + date);
        System.out.println("类型:" + type);
        System.out.println("内容:" + body);
        System.out.println("======================");
    }
    cursor.close();
}

别忘了,往AndroidManifest.xml加入读取收件箱的权限:

<uses-permission android:name="android.permission.READ_SMS"/>

运行结果:

这里写图片描述

2)简单的往收件箱里插入一条信息

private void insertMsg() {
    ContentResolver resolver = getContentResolver();
    Uri uri = Uri.parse("content://sms/");
    ContentValues conValues = new ContentValues();
    conValues.put("address", "123456789");
    conValues.put("type", 1);
    conValues.put("date", System.currentTimeMillis());
    conValues.put("body", "no zuo no die why you try!");
    resolver.insert(uri, conValues);
}

注意事项:

上述代码在4.4以下都可以实现写入短信的功能,而5.0上就无法写入,原因是: 从5.0开始,默认短信应用外的软件不能以写入短信数据库的形式发短信!

3)简单的读取手机联系人

核心代码:

private void getContacts(){
    //①查询raw_contacts表获得联系人的id
    ContentResolver resolver = getContentResolver();
    Uri uri = ContactsContract.CommonDataKinds.Phone.CONTENT_URI;
    //查询联系人数据
    cursor = resolver.query(uri, null, null, null, null);
    while(cursor.moveToNext())
    {
        //获取联系人姓名,手机号码
        String cName = cursor.getString(cursor.getColumnIndex(ContactsContract.CommonDataKinds.Phone.DISPLAY_NAME));
        String cNum = cursor.getString(cursor.getColumnIndex(ContactsContract.CommonDataKinds.Phone.NUMBER));
        System.out.println("姓名:" + cName);
        System.out.println("号码:" + cNum);
        System.out.println("======================");
    }
    cursor.close();
}

别忘了加读联系人的权限:

<uses-permission android:name="android.permission.READ_CONTACTS"/>

4)查询指定电话的联系人信息

private void queryContact(String number){
        Uri uri = Uri.parse("content://com.android.contacts/data/phones/filter/" + number);
        ContentResolver resolver = getContentResolver();
        Cursor cursor = resolver.query(uri, new String[]{"display_name"}, null, null, null);
        if (cursor.moveToFirst()) {
            String name = cursor.getString(0);
            System.out.println(number + "对应的联系人名称:" + name);
        }
    cursor.close();
}

5)添加一个新的联系人

private void AddContact() throws RemoteException, OperationApplicationException {
    //使用事务添加联系人
    Uri uri = Uri.parse("content://com.android.contacts/raw_contacts");
    Uri dataUri =  Uri.parse("content://com.android.contacts/data");

    ContentResolver resolver = getContentResolver();
    ArrayList<ContentProviderOperation> operations = new ArrayList<ContentProviderOperation>();
    ContentProviderOperation op1 = ContentProviderOperation.newInsert(uri)
            .withValue("account_name", null)
            .build();
    operations.add(op1);

    //依次是姓名,号码,邮编
    ContentProviderOperation op2 = ContentProviderOperation.newInsert(dataUri)
            .withValueBackReference("raw_contact_id", 0)
            .withValue("mimetype", "vnd.android.cursor.item/name")
            .withValue("data2", "Coder-pig")
            .build();
    operations.add(op2);

    ContentProviderOperation op3 = ContentProviderOperation.newInsert(dataUri)
            .withValueBackReference("raw_contact_id", 0)
            .withValue("mimetype", "vnd.android.cursor.item/phone_v2")
            .withValue("data1", "13798988888")
            .withValue("data2", "2")
            .build();
    operations.add(op3);

    ContentProviderOperation op4 = ContentProviderOperation.newInsert(dataUri)
            .withValueBackReference("raw_contact_id", 0)
            .withValue("mimetype", "vnd.android.cursor.item/email_v2")
            .withValue("data1", "779878443@qq.com")
            .withValue("data2", "2")
            .build();
    operations.add(op4);
    //将上述内容添加到手机联系人中~
    resolver.applyBatch("com.android.contacts", operations);
    Toast.makeText(getApplicationContext(), "添加成功", Toast.LENGTH_SHORT).show();
}

别忘了权限:

<uses-permission android:name="android.permission.WRITE_CONTACTS"/>
<uses-permission android:name="android.permission.WRITE_PROFILE"/>

自定义ContentProvider

我们很少会自己来定义ContentProvider,因为我们很多时候都不希望自己应用的数据暴露给 其他应用,虽然这样,学习如何ContentProvider还是有必要的,多一种数据传输的方式,是吧~
这是之前画的一个流程图:

这里写图片描述

接下来我们就来一步步实现:
在开始之前我们先要创建一个数据库创建类:

DBOpenHelper.java

public class DBOpenHelper extends SQLiteOpenHelper {

    final String CREATE_SQL = "CREATE TABLE test(_id INTEGER PRIMARY KEY AUTOINCREMENT,name)";

    public DBOpenHelper(Context context, String name, CursorFactory factory,
            int version) {
        super(context, name, null, 1);
    }


    @Override
    public void onCreate(SQLiteDatabase db) {
        db.execSQL(CREATE_SQL);
    }

    @Override
    public void onUpgrade(SQLiteDatabase db, int oldVersion, int newVersion) {
        // TODO Auto-generated method stub

    }

}

Step 1:自定义ContentProvider类,实现onCreate(),getType(),根据需求重写对应的增删改查方法

NameContentProvider.java

public class NameContentProvider extends ContentProvider {

    //初始化一些常量
     private static UriMatcher matcher = new UriMatcher(UriMatcher.NO_MATCH);        
     private DBOpenHelper dbOpenHelper;

    //为了方便直接使用UriMatcher,这里addURI,下面再调用Matcher进行匹配

     static{  
         matcher.addURI("com.jay.example.providers.myprovider", "test", 1);
     }  

    @Override
    public boolean onCreate() {
        dbOpenHelper = new DBOpenHelper(this.getContext(), "test.db", null, 1);
        return true;
    }

    @Override
    public Cursor query(Uri uri, String[] projection, String selection,
            String[] selectionArgs, String sortOrder) {
        return null;
    }

    @Override
    public String getType(Uri uri) {
        return null;
    }

    @Override
    public Uri insert(Uri uri, ContentValues values) {

        switch(matcher.match(uri))
        {
        //把数据库打开放到里面是想证明uri匹配完成
        case 1:
            SQLiteDatabase db = dbOpenHelper.getReadableDatabase();
            long rowId = db.insert("test", null, values);
            if(rowId > 0)
            {
                //在前面已有的Uri后面追加ID
                Uri nameUri = ContentUris.withAppendedId(uri, rowId);
                //通知数据已经发生改变
                getContext().getContentResolver().notifyChange(nameUri, null);
                return nameUri;
            }
        }
        return null;
    }

    @Override
    public int delete(Uri uri, String selection, String[] selectionArgs) {
        return 0;
    }

    @Override
    public int update(Uri uri, ContentValues values, String selection,
            String[] selectionArgs) {
        return 0;
    }

}

Step 2:AndroidManifest.xml中为ContentProvider进行注册:

<!--属性依次为:全限定类名,用于匹配的URI,是否共享数据 -->
<provider android:name="com.jay.example.bean.NameContentProvider"
            android:authorities="com.jay.example.providers.myprovider"
            android:exported="true" />

好的,作为ContentProvider的部分就完成了!

接下来,创建一个新的项目,我们来实现ContentResolver的部分,我们直接通过按钮点击插入一条数据:

MainActivity.java

public class MainActivity extends Activity {

    private Button btninsert;

    @Override
    protected void onCreate(Bundle savedInstanceState) {
        super.onCreate(savedInstanceState);
        setContentView(R.layout.activity_main);

        btninsert = (Button) findViewById(R.id.btninsert);

        //读取contentprovider 数据  
        final ContentResolver resolver = this.getContentResolver();


        btninsert.setOnClickListener(new OnClickListener() {

            @Override
            public void onClick(View v) {
                 ContentValues values = new ContentValues();
                 values.put("name", "测试");
                 Uri uri = Uri.parse("content://com.jay.example.providers.myprovider/test");
                resolver.insert(uri, values);
                Toast.makeText(getApplicationContext(), "数据插入成功", Toast.LENGTH_SHORT).show();

            }
        });

    }
}

如何使用? 好吧,代码还是蛮简单的,先运行作为ContentProvider的项目,接着再运行ContentResolver的项目, 点击按钮插入一条数据,然后打开file exploer将ContentProvider的db数据库取出,用图形查看工具 查看即可发现插入数据,时间关系,就不演示结果了~

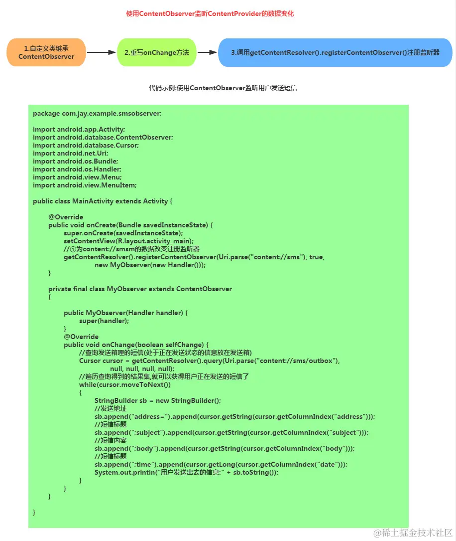
通过ContentObserver监听ContentProvider的数据变化

这里写图片描述

使用指南:

运行程序后,晾一边,收到短信后,可以在logcat上看到该条信息的内容,可以根据自己的需求 将Activtiy改做Service,而在后台做这种事情~

小结

关于ContentProvider的初探就到这里,我们学习了: ContentProvider的概念以及流程,使用系统提供的一些ContentProvider,以及定制自己的ContentProvider, 最后还讲解了通过ContentObserver监听ContentProvider的数据变化,ContentProvider的内容就掌握得差不多 了.