Disruptor详解,Java高性能内存队列最优解

1,435 阅读18分钟

@[TOC]

一、Disruptor介绍

1、为什么要有Disruptor

juc包下阻塞队列的缺陷: 1) juc下的队列大部分采用加ReentrantLock锁方式保证线程安全。在稳定性要求特别高的系统中,为了防止生产者速度过快,导致内存溢出,只能选择有界队列。 2)加锁的方式通常会严重影响性能。线程会因为竞争不到锁而被挂起,等待其他线程释放锁而唤醒,这个过程存在很大的开销,而且存在死锁的隐患。 3) 有界队列通常采用数组实现。但是采用数组实现又会引发另外一个问题false sharing(伪共享)

2、Disruptor介绍

Disruptor是英国外汇交易公司LMAX开发的一个高性能队列,研发的初衷是解决内存队列的延迟问题(在性能测试中发现竟然与I/O操作处于同样的数量级)。基于Disruptor开发的系统单线程能支撑每秒600万订单,2010年在QCon演讲后,获得了业界关注。2011年,企业应用软件专家Martin Fowler专门撰写长文介绍。同年它还获得了Oracle官方的Duke大奖。

目前,包括Apache Storm、Camel、Log4j 2在内的很多知名项目都应用了Disruptor以获取高性能。

Github:https://github.com/LMAX-Exchange/disruptor 官方学习网站:http://ifeve.com/disruptor-getting-started/

Disruptor实现了队列的功能并且是一个有界队列,可以用于生产者-消费者模型。

Disruptor是一个高性能的异步处理框架,或者可以认为是最快的消息框架(轻量的JMS),也可以认为是一个观察者模式的实现,或者事件监听模式的实现。

3、Disruptor的高性能设计

Disruptor通过以下设计来解决队列速度慢的问题:

  • 环形数组结构 为了避免垃圾回收,采用数组而非链表。同时,数组对处理器的缓存机制更加友好(空间局部性原理)。
  • 元素位置定位 数组长度2^n,通过位运算,加快定位的速度。下标采取递增的形式。不用担心index溢出的问题。index是long类型,即使100万QPS的处理速度,也需要30万年才能用完。
  • 无锁设计 每个生产者或者消费者线程,会通过先申请可以操作的元素在数组中的位置,申请到之后,直接在该位置写入或者读取数据。整个过程通过原子变量CAS,保证操作的线程安全。
  • 利用缓存行填充解决了伪共享的问题
  • 实现了基于事件驱动的生产者消费者模型(观察者模式)
    消费者时刻关注着队列里有没有消息,一旦有新消息产生,消费者线程就会立刻把它消费

4、RingBuffer数据结构

使用RingBuffer来作为队列的数据结构,RingBuffer就是一个可自定义大小的环形数组。除数组外还有一个序列号(sequence),用以指向下一个可用的元素,供生产者与消费者使用。原理图如下所示: 在这里插入图片描述

  • Disruptor要求设置数组长度为2的n次幂。在知道索引(index)下标的情况下,存与取数组上的元素时间复杂度只有O(1),而这个index我们可以通过序列号与数组的长度取模来计算得出,index=sequence % entries.length。也可以用位运算来计算效率更高,此时array.length必须是2的幂次方,index=sequece&(entries.length-1)
  • 当所有位置都放满了,再放下一个时,就会把0号位置覆盖掉

5、等待策略

名称措施适用场景
BlockingWaitStrategy加锁CPU资源紧缺,吞吐量和延迟并不重要的场景
BusySpinWaitStrategy自旋通过不断重试,减少切换线程导致的系统调用,而降低延迟。推荐在线程绑定到固定的CPU的场景下使用
PhasedBackoffWaitStrategy自旋 + yield + 自定义策略CPU资源紧缺,吞吐量和延迟并不重要的场景
SleepingWaitStrategy自旋 + yield + sleep性能和CPU资源之间有很好的折中。延迟不均匀
TimeoutBlockingWaitStrategy加锁,有超时限制CPU资源紧缺,吞吐量和延迟并不重要的场景
YieldingWaitStrategy自旋 + yield + 自旋性能和CPU资源之间有很好的折中。延迟比较均匀

6、Disruptor在日志框架中的应用

Log4j 2相对于Log4j 1最大的优势在于多线程并发场景下性能更优。该特性源自于Log4j 2的异步模式采用了Disruptor来处理。 在Log4j 2的配置文件中可以配置WaitStrategy,默认是Timeout策略。 在这里插入图片描述 loggers all async采用的是Disruptor,而Async Appender采用的是ArrayBlockingQueue队列。

由图可见,单线程情况下,loggers all async与Async Appender吞吐量相差不大,但是在64个线程的时候,loggers all async的吞吐量比Async Appender增加了12倍,是Sync模式的68倍。

7、术语

RingBuffer: 被看作Disruptor最主要的组件,然而从3.0开始RingBuffer仅仅负责存储和更新在Disruptor中流通的数据。对一些特殊的使用场景能够被用户(使用其他数据结构)完全替代。

Sequence: Disruptor使用Sequence来表示一个特殊组件处理的序号。和Disruptor一样,每个消费者(EventProcessor)都维持着一个Sequence。大部分的并发代码依赖这些Sequence值的运转,因此Sequence支持多种当前为AtomicLong类的特性。

Sequencer: 这是Disruptor真正的核心。实现了这个接口的两种生产者(单生产者和多生产者)均实现了所有的并发算法,为了在生产者和消费者之间进行准确快速的数据传递。

SequenceBarrier: 由Sequencer生成,并且包含了已经发布的Sequence的引用,这些的Sequence源于Sequencer和一些独立的消费者的Sequence。它包含了决定是否有供消费者来消费的Event的逻辑。

WaitStrategy:决定一个消费者将如何等待生产者将Event置入Disruptor。Event:从生产者到消费者过程中所处理的数据单元。Disruptor中没有代码表示Event,因为它完全是由用户定义的。

EventProcessor:主要事件循环,处理Disruptor中的Event,并且拥有消费者的Sequence。它有一个实现类是BatchEventProcessor,包含了event loop有效的实现,并且将回调到一个EventHandler接口的实现对象。

EventHandler:由用户实现并且代表了Disruptor中的一个消费者的接口。 Producer:由用户实现,它调用RingBuffer来插入事件(Event),在Disruptor中没有相应的实现代码,由用户实现。

WorkProcessor:确保每个sequence只被一个processor消费,在同一个WorkPool中的处理多个WorkProcessor不会消费同样的sequence。

WorkerPool:一个WorkProcessor池,其中WorkProcessor将消费Sequence,所以任务可以在实现WorkHandler接口的worker之间移交 。

LifecycleAware:当BatchEventProcessor启动和停止时,于实现这个接口用于接收通知。

二、Disruptor实战

1、引入依赖

<!-- disruptor -->
<dependency>
    <groupId>com.lmax</groupId>
    <artifactId>disruptor</artifactId>
    <version>3.3.4</version>
</dependency>

2、Disruptor构造器

public Disruptor(
        final EventFactory<T> eventFactory,
        final int ringBufferSize,
        final ThreadFactory threadFactory,
        final ProducerType producerType,
        final WaitStrategy waitStrategy)

eventFactory -在环缓冲区中创建事件的工厂。 ringBufferSize -环形缓冲区的大小,必须是2的幂。 threadFactory——一个为处理器创建线程的threadFactory。 producerType——用于环形缓冲区的声明策略。 waitStrategy -用于环缓冲区的等待策略。

3、入门实例

(1)Hello World

在Disruptor中,我们想实现hello world 需要如下几步骤: 第一:建立一个Event类 第二:建立一个工厂Event类,用于创建Event类实例对象 第三:需要有一个监听事件类,用于处理数据(Event类) 第四:我们需要进行测试代码编写。实例化Disruptor实例,配置一系列参数。然后我们对Disruptor实例绑定监听事件类,接受并处理数据。 第五:在Disruptor中,真正存储数据的核心叫做RingBuffer,我们通过Disruptor实例拿到它,然后把数据生产出来,把数据加入到RingBuffer的实例对象中即可。

//1、真正要生产的对象
public class LongEvent {
    private long value;

    public long getValue() {
        return value;
    }

    public void setValue(long value) {
        this.value = value;
    }
}
import com.lmax.disruptor.EventFactory;

// 2、需要让disruptor为我们创建事件,我们同时还声明了一个EventFactory来实例化Event对象。
public class LongEventFactory implements EventFactory {
    @Override
    public Object newInstance() {
        return new LongEvent();
    }
}
import com.lmax.disruptor.EventHandler;

//3、我们还需要一个事件消费者,也就是一个事件处理器。这个事件处理器简单地把事件中存储的数据打印到终端:
public class LongEventHandler implements EventHandler<LongEvent> {
     @Override
     public void onEvent(LongEvent longEvent, long l, boolean  b) throws Exception {
           //消费逻辑
           System.out.println("consumer" + longEvent.getValue());
     }
}
import com.lmax.disruptor.RingBuffer;

import java.nio.ByteBuffer;

/**
 * 很明显的是:当用一个简单队列来发布事件的时候会牵涉更多的细节,这是因为事件对象还需要预先创建。
 * 发布事件最少需要两步:获取下一个事件槽并发布事件(发布事件的时候要使用try/finnally保证事件一定会被发布)。
 * 如果我们使用RingBuffer.next()获取一个事件槽,那么一定要发布对应的事件。
 * 如果不能发布事件,那么就会引起Disruptor状态的混乱。
 * 尤其是在多个事件生产者的情况下会导致事件消费者失速,从而不得不重启应用才能会恢复。
 * <B>系统名称:</B><BR>
 * <B>模块名称:</B><BR>
 * <B>中文类名:</B><BR>
 * <B>概要说明:</B><BR>
 */
//4、这是一个生产者
public class LongEventProducer {
    private final RingBuffer<LongEvent> ringBuffer;

    public LongEventProducer(RingBuffer<LongEvent> ringBuffer) {
        this.ringBuffer = ringBuffer;
    }

    /**
     * onData用来发布事件,每调用一次就发布一次事件
     * 它的参数会用过事件传递给消费者
     */
    public void onData(ByteBuffer bb) {
        //1.可以把ringBuffer看做一个事件队列,那么next就是得到下面一个事件槽
        long sequence = ringBuffer.next();
        try {
            //2.用上面的索引取出一个空的事件用于填充(获取该序号对应的事件对象)
            LongEvent event = ringBuffer.get(sequence);
            //3.获取要通过事件传递的业务数据
            event.setValue(bb.getLong(0));
        } finally {
            //4.发布事件,发布后才能消费
            //注意,最后的 ringBuffer.publish 方法必须包含在  finally 中以确保必须得到调用;如果某个请求的 sequence 未被提交,将会堵塞后续的发布操作或者其它的 producer。
            ringBuffer.publish(sequence);
        }
    }
}
import com.lmax.disruptor.RingBuffer;
import com.lmax.disruptor.YieldingWaitStrategy;
import com.lmax.disruptor.dsl.Disruptor;
import com.lmax.disruptor.dsl.ProducerType;

import java.nio.ByteBuffer;
import java.util.concurrent.ExecutorService;
import java.util.concurrent.Executors;

// 5、编码
public class LongEventMain {
     public static void main(String[] args) throws Exception {
           //创建缓冲池
           ExecutorService executor =  Executors.newCachedThreadPool();
           //创建工厂
           LongEventFactory factory = new LongEventFactory();
           //创建bufferSize ,也就是RingBuffer大小,必须是2的N次方
           int ringBufferSize = 1024 * 1024; //
           
           //创建disruptor
           //1.第一个参数为工厂类对象,用于创建一个个的LongEvent,LongEvent是实际的消费数据
           //2.第二个参数为缓冲区
           //3.第三个参数为线程池
           //4.第四个参数为ProducerType.SINGLE(表示生产者只有一个)和ProducerType.MULTY(表示有多个生产者)
           //5.第五个参数是一种策略
           /**
           //BlockingWaitStrategy 是最低效的策略,但其对CPU的消耗最小并且在各种不同部署环境中能提供更加一致的性能表现
           WaitStrategy BLOCKING_WAIT = new  BlockingWaitStrategy();
           //SleepingWaitStrategy 的性能表现跟BlockingWaitStrategy差不多,对CPU的消耗也类似,但其对生产者线程的影响最小,适合用于异步日志类似的场景
           WaitStrategy SLEEPING_WAIT = new  SleepingWaitStrategy();
           //YieldingWaitStrategy 的性能是最好的,适合用于低延迟的系统。在要求极高性能且事件处理线数小于CPU逻辑核心数的场景中,推荐使用此策略;例如,CPU开启超线程的特性
           WaitStrategy YIELDING_WAIT = new  YieldingWaitStrategy();
            */
           Disruptor<LongEvent> disruptor =
                     new Disruptor<LongEvent>(factory,  ringBufferSize, executor, ProducerType.SINGLE, new YieldingWaitStrategy());
           // 连接消费事件方法
           disruptor.handleEventsWith(new LongEventHandler());
           
           // 启动
           disruptor.start();
           
           //Disruptor 的事件发布过程是一个两阶段提交的过程:
           //发布事件
           //使用该方法获得具体存放数据的容器ringbuffer(环形结构)
           RingBuffer<LongEvent> ringBuffer =  disruptor.getRingBuffer();
           //把容器传入生产者
           LongEventProducer producer = new  LongEventProducer(ringBuffer);
           //LongEventProducerWithTranslator producer = new  LongEventProducerWithTranslator(ringBuffer);
           ByteBuffer byteBuffer = ByteBuffer.allocate(8);//传值用的,不用太在意
           for(long l = 0; l<100; l++){
                byteBuffer.putLong(0, l);
                producer.onData(byteBuffer);
                Thread.sleep(1000);
           }
           
           disruptor.shutdown();//关闭 disruptor,方法会堵塞,直至所有的事件都得到处理;
           executor.shutdown();//关闭 disruptor 使用的线程池;如果需要的话,必须手动关闭, disruptor 在 shutdown 时不会自动关闭;      
     }
}
import com.lmax.disruptor.EventTranslatorOneArg;
import com.lmax.disruptor.RingBuffer;

import java.nio.ByteBuffer;

/**
 * Disruptor 3.0提供了lambda式的API。这样可以把一些复杂的操作放在Ring Buffer,
 * 所以在Disruptor3.0以后的版本最好使用Event Publisher或者Event  Translator来发布事件
 * <B>系统名称:</B><BR>
 * <B>模块名称:</B><BR>
 * <B>中文类名:</B><BR>
 * <B>概要说明:</B><BR>
 */
// 其他:生产者也可以这样写
public class LongEventProducerWithTranslator {
    //一个translator可以看做一个事件初始化器,publicEvent方法会调用它
    //填充Event
    private static final EventTranslatorOneArg<LongEvent, ByteBuffer> TRANSLATOR =
            new EventTranslatorOneArg<LongEvent, ByteBuffer>() {
                @Override
                public void translateTo(LongEvent event, long sequeue, ByteBuffer buffer) {
                    event.setValue(buffer.getLong(0));
                }
            };

    private final RingBuffer<LongEvent> ringBuffer;

    public LongEventProducerWithTranslator(RingBuffer<LongEvent> ringBuffer) {
        this.ringBuffer = ringBuffer;
    }

    public void onData(ByteBuffer buffer) {
        ringBuffer.publishEvent(TRANSLATOR, buffer);
    }
}

(2)单生产者单消费者模式

/**
 * 1、消息载体(事件)
 */
public class OrderEvent {

    private long value;
    private String name;

    public String getName() {
        return name;
    }

    public void setName(String name) {
        this.name = name;
    }

    public long getValue() {
        return value;
    }

    public void setValue(long value) {
        this.value = value;
    }
}

import com.lmax.disruptor.EventFactory;

/**
 * 2、事件工厂
 */
public class OrderEventFactory implements EventFactory<OrderEvent> {

    @Override
    public OrderEvent newInstance() {
        return new OrderEvent();
    }
}

import com.lmax.disruptor.RingBuffer;
import com.disruptor.event.OrderEvent;

/**
 * 3、消息(事件)生产者
 */
public class OrderEventProducer {
    //事件队列
    private final RingBuffer<OrderEvent> ringBuffer;

    public OrderEventProducer(RingBuffer<OrderEvent> ringBuffer) {
        this.ringBuffer = ringBuffer;
    }

    public void onData(long value,String name) {
        // 获取事件队列 的下一个槽
        long sequence = ringBuffer.next();
        try {
            //获取消息载体(事件)
            OrderEvent orderEvent = ringBuffer.get(sequence);
            // 写入消息数据
            orderEvent.setValue(value);
            orderEvent.setName(name);
        } catch (Exception e) {
            // TODO  异常处理
            e.printStackTrace();
        } finally {
            System.out.println("生产者"+ Thread.currentThread().getName()
                    +"发送数据value:"+value+",name:"+name);
            //发布事件
            ringBuffer.publish(sequence);
        }
    }
}

import com.disruptor.event.OrderEvent;
import com.lmax.disruptor.EventHandler;

/**
 * 4、消费者
 */
public class OrderEventHandler implements EventHandler<OrderEvent> {

    @Override
    public void onEvent(OrderEvent event, long sequence, boolean endOfBatch) throws Exception {
        // TODO 消费逻辑
        System.out.println("EventHandler 消费者"+ Thread.currentThread().getName()
                +"获取数据value:"+ event.getValue()+",name:"+event.getName());
    }

}

import com.disruptor.consumer.OrderEventHandler;
import com.disruptor.event.OrderEvent;
import com.disruptor.producer.OrderEventProducer;
import com.lmax.disruptor.RingBuffer;
import com.lmax.disruptor.YieldingWaitStrategy;
import com.lmax.disruptor.dsl.Disruptor;
import com.lmax.disruptor.dsl.ProducerType;


import java.util.concurrent.Executors;

/**
 * 5、编码
 */
public class DisruptorDemo {

    public static void main(String[] args) throws Exception {

        //创建disruptor
        Disruptor<OrderEvent> disruptor = new Disruptor<>(
                OrderEvent::new,
                1024 * 1024,
                Executors.defaultThreadFactory(),
                ProducerType.SINGLE, //单生产者
                new YieldingWaitStrategy()  //等待策略
        );

        //设置消费者用于处理RingBuffer的事件
        disruptor.handleEventsWith(new OrderEventHandler());
        //设置多消费者,消息会被重复消费
        //disruptor.handleEventsWith(new OrderEventHandler(),new OrderEventHandler());
        //设置多消费者,消费者要实现WorkHandler接口,一条消息只会被一个消费者消费
        //disruptor.handleEventsWithWorkerPool(new OrderEventHandler(), new OrderEventHandler());

        //启动disruptor
        disruptor.start();

        //创建ringbuffer容器
        RingBuffer<OrderEvent> ringBuffer = disruptor.getRingBuffer();
        //创建生产者
        OrderEventProducer eventProducer = new OrderEventProducer(ringBuffer);
        // 发送消息
        for(int i=0;i<100;i++){
            eventProducer.onData(i,"Fox"+i);
        }

        disruptor.shutdown();

    }
}

(3)单生产者多消费者模式

如果消费者是多个,只需要在调用 handleEventsWith 方法时将多个消费者传递进去。

//设置多消费者,消息会被重复消费
disruptor.handleEventsWith(new OrderEventHandler(), new OrderEventHandler());

上面传入的两个消费者会重复消费每一条消息,如果想实现一条消息在有多个消费者的情况下,只会被一个消费者消费,那么需要调用 handleEventsWithWorkerPool 方法。

//设置多消费者,消费者要实现WorkHandler接口,一条消息只会被一个消费者消费
disruptor.handleEventsWithWorkerPool(new OrderEventHandler(), new OrderEventHandler());

注意:消费者要实现WorkHandler接口

public class OrderEventHandler implements EventHandler<OrderEvent>, WorkHandler<OrderEvent> {

    @Override
    public void onEvent(OrderEvent event, long sequence, boolean endOfBatch) throws Exception {
        // TODO 消费逻辑
        System.out.println("消费者"+ Thread.currentThread().getName()
                +"获取数据value:"+ event.getValue()+",name:"+event.getName());
    }

    @Override
    public void onEvent(OrderEvent event) throws Exception {
        // TODO 消费逻辑
        System.out.println("消费者"+ Thread.currentThread().getName()
                +"获取数据value:"+ event.getValue()+",name:"+event.getName());
    }
}

(4)多生产者多消费者模式

在实际开发中,多个生产者发送消息,多个消费者处理消息才是常态。

import com.disruptor.consumer.OrderEventHandler;
import com.disruptor.event.OrderEvent;
import com.disruptor.event.OrderEventFactory;
import com.disruptor.producer.OrderEventProducer;
import com.lmax.disruptor.RingBuffer;
import com.lmax.disruptor.YieldingWaitStrategy;
import com.lmax.disruptor.dsl.Disruptor;
import com.lmax.disruptor.dsl.ProducerType;


import java.util.concurrent.Executors;

/**
 * 5、编码
 */
public class DisruptorDemo2 {

    public static void main(String[] args) throws Exception {

        //创建disruptor
        Disruptor<OrderEvent> disruptor = new Disruptor<>(
                new OrderEventFactory(),
                1024 * 1024,
                Executors.defaultThreadFactory(),
                ProducerType.MULTI, //多生产者
                new YieldingWaitStrategy()  //等待策略
        );
        
        //设置消费者用于处理RingBuffer的事件
        //disruptor.handleEventsWith(new OrderEventHandler());
        //设置多消费者,消息会被重复消费
        //disruptor.handleEventsWith(new OrderEventHandler(),new OrderEventHandler());
        //设置多消费者,消费者要实现WorkHandler接口,一条消息只会被一个消费者消费
        disruptor.handleEventsWithWorkerPool(new OrderEventHandler(), new OrderEventHandler());

        //启动disruptor
        disruptor.start();

        //创建ringbuffer容器
        RingBuffer<OrderEvent> ringBuffer = disruptor.getRingBuffer();

        new Thread(()->{
            //创建生产者
            OrderEventProducer eventProducer = new OrderEventProducer(ringBuffer);
            // 发送消息
            for(int i=0;i<100;i++){
                eventProducer.onData(i,"Fox"+i);
            }
        },"producer1").start();

        new Thread(()->{
            //创建生产者
            OrderEventProducer eventProducer = new OrderEventProducer(ringBuffer);
            // 发送消息
            for(int i=0;i<100;i++){
                eventProducer.onData(i,"monkey"+i);
            }
        },"producer2").start();


        //disruptor.shutdown();

    }
}

4、场景应用

(1)使用EventProcessor消息处理器

import java.util.concurrent.atomic.AtomicInteger;

// 1、消息
public class Trade {

    private String id;//ID
    private String name;
    private double price;//金额
    private AtomicInteger count = new AtomicInteger(0);

    public String getId() {
        return id;
    }

    public void setId(String id) {
        this.id = id;
    }

    public String getName() {
        return name;
    }

    public void setName(String name) {
        this.name = name;
    }

    public double getPrice() {
        return price;
    }

    public void setPrice(double price) {
        this.price = price;
    }

    public AtomicInteger getCount() {
        return count;
    }

    public void setCount(AtomicInteger count) {
        this.count = count;
    }
}  
import com.lmax.disruptor.EventHandler;
import com.lmax.disruptor.WorkHandler;

import java.util.UUID;

//消费者
public class TradeHandler implements EventHandler<Trade>, WorkHandler<Trade> {  //根据具体需要实现之一即可
       
    @Override  
    public void onEvent(Trade event, long sequence, boolean  endOfBatch) throws Exception {  
        this.onEvent(event);  
    }  
  
    @Override  
    public void onEvent(Trade event) throws Exception {  
        //这里做具体的消费逻辑  
        event.setId(UUID.randomUUID().toString());//简单生成下ID
        System.out.println(event.getId());  
    }  
}  
import com.lmax.disruptor.*;

import java.util.concurrent.Callable;
import java.util.concurrent.ExecutorService;
import java.util.concurrent.Executors;
import java.util.concurrent.Future;

public class Main1 {
   
     public static void main(String[] args) throws Exception {  
        int BUFFER_SIZE=1024;  
        int THREAD_NUMBERS=4;  
        /*
         * createSingleProducer创建一个单生产者的RingBuffer,
         * 第一个参数叫EventFactory,从名字上理解就是"事件工厂",其实它的职责就是产生数据填充RingBuffer的区块。
         * 第二个参数是RingBuffer的大小,它必须是2的指数倍 目的是为了将求模运算转为&运算提高效率
         * 第三个参数是RingBuffer的生产都在没有可用区块的时候(可能是消费者(或者说是事件处理器) 太慢了)的等待策略
         */  
        final RingBuffer<Trade> ringBuffer =  RingBuffer.createSingleProducer(new EventFactory<Trade>() {
            @Override  
            public Trade newInstance() {  
                return new Trade();  
            }  
        }, BUFFER_SIZE, new YieldingWaitStrategy());
        
        //创建线程池  
        ExecutorService executors =  Executors.newFixedThreadPool(THREAD_NUMBERS);
        
        //创建SequenceBarrier  
        SequenceBarrier sequenceBarrier =  ringBuffer.newBarrier();
          
        //创建消息处理器  
        BatchEventProcessor<Trade> transProcessor = new  BatchEventProcessor<Trade>(
                ringBuffer, sequenceBarrier, new TradeHandler());  
          
        //这一步的目的就是把消费者的位置信息引用注入到生产者    如果只有一个消费者的情况可以省略
         ringBuffer.addGatingSequences(transProcessor.getSequence());  
          
        //把消息处理器提交到线程池  
        executors.submit(transProcessor);  
        
        //如果存在多个消费者 那重复执行上面3行代码 把TradeHandler换成其它消费者类  
          
        Future<?> future= executors.submit(new Callable<Void>()  {
            @Override  
            public Void call() throws Exception {  
                long seq;  
                for(int i=0;i<10;i++){  
                    seq = ringBuffer.next();//占个坑 --ringBuffer一个可用区块  
                     ringBuffer.get(seq).setPrice(Math.random()*9999);//给这个区块放入  数据
                    ringBuffer.publish(seq);//发布这个区块的数据使handler(consumer)可见  
                }  
                return null;  
            }  
        });
        
        future.get();//等待生产者结束  
        Thread.sleep(1000);//等上1秒,等消费都处理完成  
        transProcessor.halt();//通知事件(或者说消息)处理器 可以结束了(并不是马上结束!!!)  
        executors.shutdown();//终止线程  
    }  
}  

(2)使用WorkerPool消息处理器

import com.lmax.disruptor.*;

import java.util.concurrent.ExecutorService;
import java.util.concurrent.Executors;

public class Main2 {  
    public static void main(String[] args) throws  InterruptedException {  
        int BUFFER_SIZE=1024;  
        int THREAD_NUMBERS=4;  
        
        EventFactory<Trade> eventFactory = new  EventFactory<Trade>() {  
            public Trade newInstance() {  
                return new Trade();  
            }  
        };  
        
        RingBuffer<Trade> ringBuffer =  RingBuffer.createSingleProducer(eventFactory, BUFFER_SIZE);  
          
        SequenceBarrier sequenceBarrier =  ringBuffer.newBarrier();  
          
        ExecutorService executor =  Executors.newFixedThreadPool(THREAD_NUMBERS);  
          
        WorkHandler<Trade> handler = new TradeHandler();  
        WorkerPool<Trade> workerPool = new  WorkerPool<Trade>(ringBuffer, sequenceBarrier, new  IgnoreExceptionHandler(), handler);  
          
        workerPool.start(executor);  
          
        //下面这个生产8个数据 这里其实应该换成生产者
        for(int i=0;i<8;i++){  
            long seq=ringBuffer.next();  
            ringBuffer.get(seq).setPrice(Math.random()*9999);  
            ringBuffer.publish(seq);  
        }  
          
        Thread.sleep(1000);  
        workerPool.halt();  
        executor.shutdown();  
    }  
}  

5、复杂场景下使用

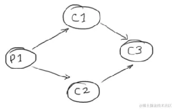
在复杂场景下使用RingBuffer(希望P1生产的数据给C1、C2并行执行,最后C1、C2执行结束后C3执行) 这种场景必须使用disruptor了。 在这里插入图片描述 在这里插入图片描述

import java.util.concurrent.atomic.AtomicInteger;

// 1、数据
public class Trade {  
	
	private String id;//ID  
	private String name;
	private double price;//金额  
	private AtomicInteger count = new AtomicInteger(0);
	
	public String getId() {
		return id;
	}
	public void setId(String id) {
		this.id = id;
	}
	public String getName() {
		return name;
	}
	public void setName(String name) {
		this.name = name;
	}
	public double getPrice() {
		return price;
	}
	public void setPrice(double price) {
		this.price = price;
	}
	public AtomicInteger getCount() {
		return count;
	}
	public void setCount(AtomicInteger count) {
		this.count = count;
	} 
	  
	  
}  
import com.lmax.disruptor.EventTranslator;
import com.lmax.disruptor.dsl.Disruptor;

import java.util.Random;
import java.util.concurrent.CountDownLatch;
// 2、生产者
public class TradePublisher implements Runnable {  
	
    Disruptor<Trade> disruptor;  
    private CountDownLatch latch;  
    
    private static int LOOP=10;//模拟百万次交易的发生  
  
    public TradePublisher(CountDownLatch latch,Disruptor<Trade> disruptor) {  
        this.disruptor=disruptor;  
        this.latch=latch;  
    }  
  
    @Override  
    public void run() {  
    	TradeEventTranslator tradeTransloator = new TradeEventTranslator();  
        for(int i=0;i<LOOP;i++){  
            disruptor.publishEvent(tradeTransloator);  
        }  
        latch.countDown();  
    }  
      
}

class TradeEventTranslator implements EventTranslator<Trade>{  
    
	private Random random=new Random();  
    
	@Override  
    public void translateTo(Trade event, long sequence) {  
        this.generateTrade(event);  
    }  
    
	private Trade generateTrade(Trade trade){  
        trade.setPrice(random.nextDouble()*9999);  
        return trade;  
    }  
	
}  
// 3、以下是消费者
import com.lmax.disruptor.EventHandler;
import com.lmax.disruptor.WorkHandler;

public class Handler1 implements EventHandler<Trade>,WorkHandler<Trade> {  
	  
    @Override  
    public void onEvent(Trade event, long sequence, boolean endOfBatch) throws Exception {  
        this.onEvent(event);  
    }  
  
    @Override  
    public void onEvent(Trade event) throws Exception {  
    	System.out.println("handler1: set name");
    	event.setName("h1");
    	Thread.sleep(1000);
    }  
}  

import com.lmax.disruptor.EventHandler;

public class Handler2 implements EventHandler<Trade> {  
	  
    @Override  
    public void onEvent(Trade event, long sequence,  boolean endOfBatch) throws Exception {  
    	System.out.println("handler2: set price");
    	event.setPrice(17.0);
    	Thread.sleep(1000);
    }  
      
}  

import com.lmax.disruptor.EventHandler;

public class Handler3 implements EventHandler<Trade> {
    @Override  
    public void onEvent(Trade event, long sequence,  boolean endOfBatch) throws Exception {  
    	System.out.println("handler3: name: " + event.getName() + " , price: " + event.getPrice() + ";  instance: " + event.toString());
    }  
}

import com.lmax.disruptor.EventHandler;
import com.lmax.disruptor.WorkHandler;

public class Handler4 implements EventHandler<Trade>,WorkHandler<Trade> {  
	  
    @Override  
    public void onEvent(Trade event, long sequence, boolean endOfBatch) throws Exception {  
        this.onEvent(event);  
    }  
  
    @Override  
    public void onEvent(Trade event) throws Exception {  
    	System.out.println("handler4: get name : " + event.getName());
    	event.setName(event.getName() + "h4");
    }  
}  

import com.lmax.disruptor.EventHandler;
import com.lmax.disruptor.WorkHandler;

public class Handler5 implements EventHandler<Trade>,WorkHandler<Trade> {  
	  
    @Override  
    public void onEvent(Trade event, long sequence, boolean endOfBatch) throws Exception {  
        this.onEvent(event);  
    }  
  
    @Override  
    public void onEvent(Trade event) throws Exception {  
    	System.out.println("handler5: get price : " + event.getPrice());
    	event.setPrice(event.getPrice() + 3.0);
    }  
}  
import com.lmax.disruptor.BusySpinWaitStrategy;
import com.lmax.disruptor.EventFactory;
import com.lmax.disruptor.dsl.Disruptor;
import com.lmax.disruptor.dsl.ProducerType;

import java.util.concurrent.CountDownLatch;
import java.util.concurrent.ExecutorService;
import java.util.concurrent.Executors;

// 编码
public class Main {  
    public static void main(String[] args) throws InterruptedException {  
       
    	long beginTime=System.currentTimeMillis();  
        int bufferSize=1024;  
        ExecutorService executor=Executors.newFixedThreadPool(8);  

        Disruptor<Trade> disruptor = new Disruptor<Trade>(new EventFactory<Trade>() {  
            @Override  
            public Trade newInstance() {  
                return new Trade();  
            }  
        }, bufferSize, executor, ProducerType.SINGLE, new BusySpinWaitStrategy());  
        
        //菱形操作
        /**
        //使用disruptor创建消费者组C1,C2  
        EventHandlerGroup<Trade> handlerGroup = 
        		disruptor.handleEventsWith(new Handler1(), new Handler2());
        //声明在C1,C2完事之后执行JMS消息发送操作 也就是流程走到C3 
        handlerGroup.then(new Handler3());
        */
        
        //顺序操作
        /**
        disruptor.handleEventsWith(new Handler1()).
        	handleEventsWith(new Handler2()).
        	handleEventsWith(new Handler3());
        */
        
        //六边形操作. 
        /**
        Handler1 h1 = new Handler1();
        Handler2 h2 = new Handler2();
        Handler3 h3 = new Handler3();
        Handler4 h4 = new Handler4();
        Handler5 h5 = new Handler5();
        disruptor.handleEventsWith(h1, h2);
        disruptor.after(h1).handleEventsWith(h4);
        disruptor.after(h2).handleEventsWith(h5);
        disruptor.after(h4, h5).handleEventsWith(h3);
        */

        
        
        disruptor.start();//启动  
        CountDownLatch latch=new CountDownLatch(1);  
        //生产者准备  
        executor.submit(new TradePublisher(latch, disruptor));
        
        latch.await();//等待生产者完事. 
       
        disruptor.shutdown();  
        executor.shutdown();  
        System.out.println("总耗时:"+(System.currentTimeMillis()-beginTime));  
    }  
}