文章目录
一.Dijkstra算法想解决的问题
解决的问题: 求解单源最短路径,即各个节点到达源点的最短路径或权值
考察其他所有节点到源点的最短路径和长度
局限性: 无法解决权值为负数的情况
二. Dijkstra算法理论
参数:
| S | 记录当前已经处理过的源点到最短节点 |
| U | 记录还未处理的节点 |
| dist[] | 记录各个节点到起始节点的最短权值 |
| path[] | 记录各个节点的上一级节点(用来联系该节点到起始节点的路径) |
Dijkstra算法步骤:
(1)初始化:
顶点集S: 节点A到自已的最短路径长度为0。只包含源点,即S={A}
顶点集U: 包含除A外的其他顶点. 即U={B,C,D,E,F}
dist[]: 源点还不能到达的节点,其权值为∞
| A | B | C | D | E | F | |
|---|---|---|---|---|---|---|
| dist[]: | 0 | 1 | 2 | 3 | 4 | 5 |
| 初始化值: | 0 | 6 | 3 | ∞ | ∞ | ∞ |
path[]: 记录当前节点的前驱节点下标(源点还不能到达的节点为-1)
| A | B | C | D | E | F | |
|---|---|---|---|---|---|---|
| path[]: | 0 | 1 | 2 | 3 | 4 | 5 |
| 初始化值: | 0 | 0 | 0 | -1 | -1 | -1 |
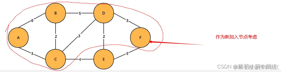
(2)从U中选取一个节点,它是源点A到U集中最短路径长度最小的节点,如上述为C然后把C加入S中(此时求出了源点A到C的最短路径长度。 S={A,C}
(3)以C为考虑的中间点,修改节点C的出边邻接点B的最短路径长度,此时源点A到节点B的最短路径有两条,即一条经过节点C,一条不经过节点C。
修改源点A到顶点B的最短路径长度=min(不经过节点C的最短路径,经过节点C的最短路径)
以此方法求出各个节点到源点的最短路径:
第一次探索
| s={A,C} |
| U={B,D,E,F} |
| A | B | C | D | E | F | |
|---|---|---|---|---|---|---|
| dist[]: | 0 | 1 | 2 | 3 | 4 | 5 |
| 0 | min(A->B,A->C->B)=5 | 3 | 6 | 7 | ∞ |
| A | B | C | D | E | F | |
|---|---|---|---|---|---|---|
| path[]: | 0 | 1 | 2 | 3 | 4 | 5 |
| 0 | 2 | 0 | 2 | 2 | -1 |
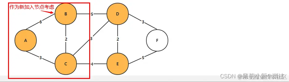
U集中dist 值 min(5,6,7,∞)=5 ,因此B加入到S集
第二次探索
| s={A,B,C} |
| U={D,E,F} |
| A | B | C | D | E | F | |
|---|---|---|---|---|---|---|
| dist[]: | 0 | 1 | 2 | 3 | 4 | 5 |
| 0 | 5 | 3 | min(6,11)=6 | 7 | ∞ |
| A | B | C | D | E | F | |
|---|---|---|---|---|---|---|
| path[]: | 0 | 1 | 2 | 3 | 4 | 5 |
| 0 | 2 | 0 | 2 | 2 | -1 |
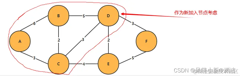
U集中dist 值 min(6,7,∞)=6 ,因此D加入到S集
第三次探索
| s={A,B,C,D} |
| U={E,F} |
| A | B | C | D | E | F | |
|---|---|---|---|---|---|---|
| dist[]: | 0 | 1 | 2 | 3 | 4 | 5 |
| 0 | 5 | 3 | 6 | min(7,8)=7 | 9 |
| A | B | C | D | E | F | |
|---|---|---|---|---|---|---|
| path[]: | 0 | 1 | 2 | 3 | 4 | 5 |
| 0 | 2 | 0 | 2 | 2 | 3 |
U集中dist 值 min(7,9)=6 ,因此F加入到S集
第四次探索
| s={A,B,C,D,F} |
| U={E} |
| A | B | C | D | E | F | |
|---|---|---|---|---|---|---|
| dist[]: | 0 | 1 | 2 | 3 | 4 | 5 |
| 0 | 5 | 3 | 6 | min(7,9+5)=7 | 9 |
| A | B | C | D | E | F | |
|---|---|---|---|---|---|---|
| path[]: | 0 | 1 | 2 | 3 | 4 | 5 |
| 0 | 2 | 0 | 2 | 2 | 3 |
U集中dist 值 min(E)=7 ,因此E加入到S集
最终结果: 源点到达各点的最短路径为dist数组中的值
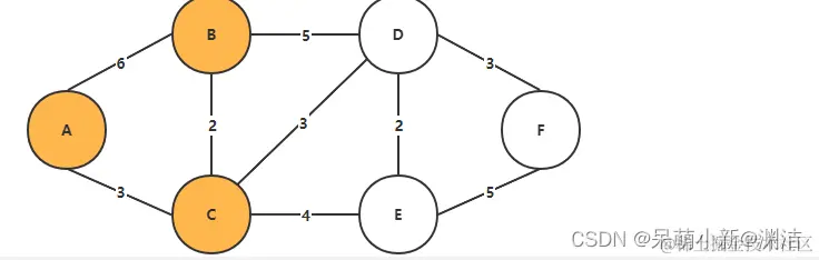
s={A,B,C,D,E,F}
u={}
| A | B | C | D | E | F | |
|---|---|---|---|---|---|---|
| dist[]: | 0 | 1 | 2 | 3 | 4 | 5 |
| 0 | 5 | 3 | 6 | 7 | 9 |
| A | B | C | D | E | F | |
|---|---|---|---|---|---|---|
| path[]: | 0 | 1 | 2 | 3 | 4 | 5 |
| 0 | 2 | 0 | 2 | 2 | 3 |
三. java代码实现
GitHub源代码地址: github.com/yuanjiejiah…
核心代码:
public void dijkstra(V v0, V vi) {
// 从顶点vO出发,查找到vi的最短路径
// listU 记录还未处理的节点
ArrayList<Integer> listU = new ArrayList<>();
// dist[] 记录各个节点到起始节点的最短权值
int[] dist = new int[this.vertices];
// 记录各个节点的上一级节点(用来联系该节点到起始节点的路径)
int[] path = new int[this.vertices];
int start = this.vertexList.indexOf(v0); // 源点序号
int end = this.vertexList.indexOf(vi); // 结束顶点序号
// 初始化U集合
for (int i = 0; i < this.vertices; i++) {
if (i == start) { // S={start}
continue;
}
listU.add(i); // u={vi}/{start}
}
// 初始化dist[],path[]
for (int i = 0; i < this.vertices; i++) {
// dist[]的当前节点权值就等于start->i节点的权值;初始化所有节点到源点的最短距离
dist[i] = this.edgeMatrix[start][i];
if (this.edgeMatrix[start][i] == Integer.MAX_VALUE) {
path[i] = -1; // 节点i不可达
} else {
path[i] = start; // 若start能直达某点,则表示节点i可以直接访问到start;
}
}
// 记录最小值的节点序号
int minIndex;
// int minIndexByI=0;
do {
System.out.println("集合U的状态: " + listU);
// dist数组下标
minIndex = listU.get(0);
for (int i = 1; i < listU.size(); i++) {
if (dist[listU.get(i)] < dist[minIndex]) {
minIndex = listU.get(i);
// minIndexByI = i;
}
}
listU.remove((Integer) minIndex);
// listU.remove(minIndexByI);
// 更新dist和path数组,主要考察minIndex节点纳入S,即新加入节点最短路径变化.
for (int i = 0; i < this.vertices; i++) {
if (this.edgeMatrix[minIndex][i] != 0 && this.edgeMatrix[minIndex][i] < Integer.MAX_VALUE) {
// 找到minIndex的所有邻接点
if (this.edgeMatrix[minIndex][i] + dist[minIndex] < dist[i]) {
// 新加入节点更短
dist[i] = this.edgeMatrix[minIndex][i] + dist[minIndex];
path[i] = minIndex;
}
}
}
} while (minIndex != end && !listU.isEmpty());
System.out.println("节点" + v0 + "=>" + vi + "最短路径是: " + dist[end]);
String str = "" + vi;
int i = end;
do {
i = path[i];
str = this.vertexList.get(i) + "=>" + str;
} while (i != start);
System.out.println(str);
}