199. 二叉树的右视图

67 阅读1分钟

199. 二叉树的右视图

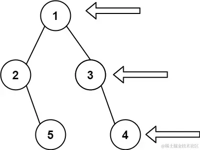
给定一个二叉树的 根节点 root,想象自己站在它的右侧,按照从顶部到底部的顺序,返回从右侧所能看到的节点值。

 

示例 1:

输入: [1,2,3,null,5,null,4]
输出: [1,3,4]

示例 2:

输入: [1,null,3]
输出: [1,3]

示例 3:

输入: []
输出: []

 

提示:

  • 二叉树的节点个数的范围是 [0,100]
  • -100 <= Node.val <= 100

代码

def rightSideView(root):
       
    # 右视图是最右边的节点,用dfs先从右子树遍历
    def dfs(node,level):
        if not node:
            return

        if len(ans) == level:
            # len(ans)代表该收集第len(ans)层的答案了,每层最先遍历的是右节点,直接收集
            ans.append(node.val)

        dfs(node.right,level + 1)
        dfs(node.left,level + 1)

    ans = []
    dfs(root,0)
    return ans