层次分析法--可以帮助你做决策的简单算法

116 阅读5分钟

作用

层次分析法是一个多指标的评价算法,主要用来在做决策时,给目标的多个影响因子做权重评分。特别是那些需要主观决策的、或者需要用经验判断的决策方案,例如:

  • 买房子(主观决策)
  • 选择旅游地(主观决策)
  • 给员工进行绩效评估(经验判断)
  • 选择开店地址(经验判断)

 

实现步骤

构建层次评价模型

一般可以分为三个层次:目标层、准则层和方案层。如图,目标层:最优旅游地选择;准则层:景色、费用、居住、饮食、旅途;方案层:西安、云南、西藏、青海。

image.png

 

构造判断矩阵

构造判断矩阵就是将准则层各要素之间两两相互比较,确定各要素对目标层的重要程度(权重)。

image.png

准则层A构建如下:

image.png

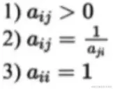
准则层A各要素必须满足如下条件:即各要素必须大于0;对角线必须等于1;对角线对称的元素互为倒数。

image.png

标度值的大小如图所示方法进行配置

image.png

 

 

层次单排序与一致性检验

层次单排序就是根据我们构成的判断矩阵,求解各个指标的权重

image.png

计算权重有两种方法:方根法、和法。

 

计算权重

方根法

1、通过计算每行乘积的m次方,得到m维向量

image.png

示例中的计算如图

image.png

 

2、将向量标准化,得到权重

image.png

计算示例的权重如图

image.png

 

和法

1、先将矩阵的每列进行标准化

2、将标准化后的各元素按行求和

3、将求和结果进行标准化

image.png

 

求解最大特征根λmax与CI值

以上,求得权重矩阵后,可以计算最大特征根,其公式为:

image.png

其中n为维度数,例如构建的判断矩阵为:景色、费用、居住、饮食、旅途时,n=5;

AW为:判断矩阵*标准化后的权重,然后按按行的累加值。

即判断矩阵A为:

image.png

标准化后权重W为:

image.png

其中A*W为:

image.png

AW:

image.png

λmax:

AW1/W1+AW2/W2+AW3/W3+···+AWn/Wn=x

image.png

最大特征值λmax=x/矩阵阶数=5.416

最大特征值λmax求解出来后,C.I值就好算多了,

根据C.I值公式,λmax=5.416,n=5,代入可得C.I值=0.1042

image.png

 

求解CR值,判断一致性

一致性校验目的是确定构建的判断矩阵是否有逻辑问题。例如,如果a相当于b为3,a相当于c为1/3,在判断b相当于c时,理应c比b重要。

RI值通过查表可以得知,这个是模拟 1000 次得到的随机一致性指标 R.I.:

image.png

而我们的矩阵是5阶(准则层因子个数),矩阵阶数为5时对应的RI值为1.12,代入公式,可以得到C.R.值为 0.1042 / 1.12 = 0.093。

image.png

所以 C.R.=0.093<0.1 时,表明判断矩阵 A 的一致性程度被认为在容许的范围内。如果C.R.≥0.1, 说明我们在构建判断矩阵时出现了逻辑错误。

image.png

层次总排序与一致性检验

层次总排序,其实就是通过类型层次单排序的方法来给方案打分。即上一步的层次单排序通过判断矩阵计算出了景色、费用、居住、饮食和旅途的权重。现在如果想要知道目标地的权重,那就再构建一个判断矩阵,利用层次单排序计算目标地点的权重,即目标方案的分数。

层次单排序是对一个目标下的多个影响因子,计算各个因子的权重,例如下图中的Z和A1、A2、A3、A4和A5。或者将A1(景色)作为目标,B1、B2和B3作为影响因子,计算B1、B2和B3的权重,即苏杭、北戴河和桂林对目标景色的重要性。

image.png

具体做法是这样的。根据上一步算出来的各个因素的权重,确定A1~A5的权重为

image.png

现在我想计算方案B1苏杭的权重,那么我们就要重复上个步骤的层次单排序的方法,首先构建一个判断矩阵

image.png

依此类推,上述步骤循环5次,就能得到苏杭、北戴河、桂林在景色上的得分矩阵A1,在费用上的得分矩阵A2,在居住上的得分矩阵A3,在饮食上的得分矩阵A4,在旅途上的得分矩阵A5:

image.png

以上的判断矩阵全部需要做一致性校验。

通过判断矩阵再计算苏杭、北戴河、桂林在景色、费用等因素上的权重。

image.png

对于方案B1(苏杭),它的总得分为:

苏杭在景色上的得分景色的权重+苏杭在费用上的得分费用的权重+苏杭在居住上的得分居住的权重+苏杭在饮食上的得分饮食的权重+苏杭在旅途上的得分旅途的权重=0.59540.3104+0.8190.0591+0.42860.1157+0.63370.4716+0.16670.0432=0.5889

 

以此类推,方案B2(北戴河)为

0.27640.3104+0.23630.0591+0.42860.1157+0.19190.4716+0.1667*0.0432=0.2471

 

方案B3(桂林):

0.12830.3104+0.68170.0591+0.14290.1157+0.17440.4716+0.6667*0.0432=0.2077

因此苏杭得分最高,选择去苏杭。

 

总结

层次分析法的核心其实就是层次单排序。层次单排序是对一个目标下的多个影响因子,计算各个因子对于该目标的权重。 利用层次单排序我们就能在一个树型结构的层次评价模型里,由最上层的目标层层递进向下,最终得到树的叶子节点的权重,即我们想要得到的各个方案的权重。

当我们把一个树模型上的所有节点的得分(可以理解为对上一层的权重)都计算出来之后,最终的方案的权重也就出来了。