算法__子集和问题

76 阅读1分钟

子集和问题就是 给出一个数组arr和一个值sum  输出满足和为sum的arr的子集

子集和问题 从某种程度上来说 其实就是 01背包问题的 子问题 还是取一种情况 不取是另外一种情况 然后 用回溯法 构建出一棵树来遍历一下

#include <iostream>
#include <cstring>
 
using namespace std;
 
const int N = 1000; 
 
int arr[N]; // 存储几何元素
bool vis[N]; // 存储集合状态
int valSum;  //当前和
 
void slove(int i , int n , int m){
 
	//超出范围
	if(i > n){
		return ;
	}
 
	// 取数
	vis[i] = true;
	valSum += arr[i];
 
 
	//满足  输出
	if(valSum == m){
		printf("{");
		for(int j = 0; j <= i; j++){
			if(vis[j] == true){
				printf("%d,",arr[j]);
			}
		}
		printf("}\n");
	}else if(valSum < m){     // 不足  继续取数
		slove(i+1,n,m);
	} 
 
 
	//回溯
	vis[i] = false;
	valSum -= arr[i];
 
 	slove(i+1,n,m);
 	return ;
}
 
int main(int argc, char const *argv[])
{
	int num,sum;// num 数组长度  sum 目标和
	scanf("%d%d",&num,&sum);
	for(int i = 0; i < num ;i++){
		scanf("%d",&arr[i]);
	}
 
	slove(0,num,sum);
	return 0;
}

子集和数问题

问题描述

已知(w1, w2, …, wn)和M,均为正数。要求找出wi的和数等于M的所有子集。

  例如:若n=4,(w1,w2,w3,w4)=(11,13,24,7),M=31,则满足要求的子集是(11,13,7)和(24,7).

分析

子集和数问题解的一种表示方法

  • 解由n-元组(x1, x2, …, xn)表示;
  • 显式约束条件xi∈{0,1} ,1≤i≤n,如果没有选择Wi,则xi=0;如果选择了Wi,则xi=1。于是上面的解可以表示为(1,1,0,1)和(0,0,1,1);
  • 隐式约束条件(xi× wi)的和数为M
  • 解空间的大小为2n个元组

子集和数的递归回溯算法

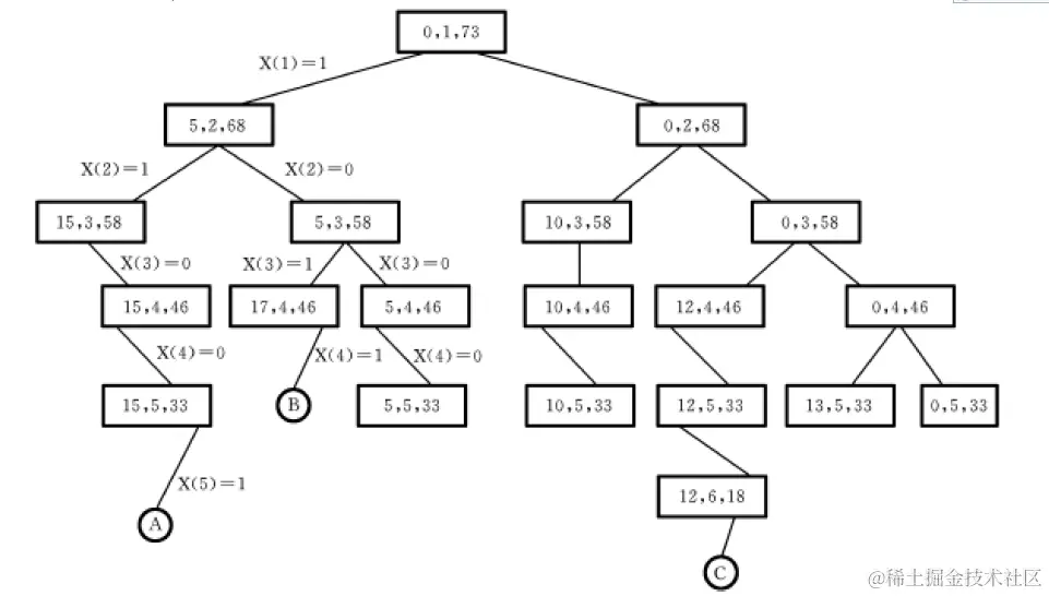
//找W(1:n)中和数为M的所有子集。进入此过程时X(1),…,X(k-1)的值已确定。W(j)按非降次序排列。

global integer M,n; global real W(1:n); global boolean X(1:n)real  r,s; integer k,j     //生成左儿子//   X(k)←1   if s+W(k)=M then     print(X(j),j←1 to k)   else     if s+W(k)+W(k+1)<=M then        call SUMOFSUB(S+W(k),k+1,r-W(k))    endif endif     //生成右儿子和计算Bk的值// if   s+r-W(k)>=M and s+W(k+1)<=M then X(k)←0          call SUMOFSUB(s,k+1,r-W(k)) endifend SUMOFSUB

例子

n=6, M=30,W(1:6)=(5,10,12,13,15,18)

(当前和,当前处理的子数,剩余子数的和)