论文分享|可保护隐私的分布式学习的匿名高效认证方案

106 阅读8分钟

论文分享|可保护隐私的分布式学习的匿名高效认证方案

隐私计算研习社 2023-12-10 17:30 发表于新加坡

收录于合集#联邦学习95个

图片

1

****背景介绍

分布式学习是集中式机器学习中减少大量数据传输的一种很有前途的技术。通过允许参与者在本地训练模型,原始数据不必要地上传到集中式云服务器,也降低了隐私泄露的风险。然而,现有的研究表明,对手能够通过分析获得的机器学习模型来获得原始数据。为了应对这一挑战,最先进的解决方案主要依赖于不同的隐私和加密技术。然而,差分隐私降低了数据的效用,而基于加密的方法由于操作有限和计算成本过高,并不是对所有机器学习算法都有效。

在本文中,我们提出了一种新的匿名认证方案来解决上述隐私保护分布式学习的挑战。具体而言,所提出的方案基于这样一个事实:如果DL系统中的参与者是匿名的,对手无法将数据链接到相应参与者的真实身份,从而实现隐私保护。与现有的研究工作相比,本文提出的协议支持批量验证和多种安全属性,计算效率更高,安全性更高。因此,它更适合于DL系统。

图片

本文的主要贡献如下:

•我们提出了一种通过部署匿名认证来解决DL中的隐私问题的新方案。与现有的方法相比,我们的新方案在不降低数据效用的情况下,对所有的机器学习算法都有效,对深度学习系统更具通用性。此外,该方案还可以与防御方案集成,检测数据投毒攻击和搭便车攻击。

•我们设计了一种新的通用无证书签名方案PCLS,它建立在基于对的密码学之上。基于所设计的签名方案,提出了一种支持批量验证的匿名高效认证协议(AAPBV)。

•设计了一种动态批量验证(DBV)算法,可以在批量验证过程中动态调整批量大小。在常规的批验证中,批大小是不可调节的。如果批量验证失败,则丢弃所有消息。在我们的方案中,当故障发生时,启动DBV调整批大小并重做验证。得益于DBV,更多的合法消息被保存,更少的消息被丢弃。因此,更多有效数据有助于模型学习,提高收敛速度。

•我们提供了关于所提议协议所实现的安全属性的正式证明和分析。除了匿名性,所提出的协议还满足机密性、不可链接性、不可伪造性、不可抵赖性、相互认证、前向安全性和后向安全性。在8个安全特性中,前5个特性是基于所设计的PCLS实现的,其他3个特性是基于所提出的AAPBV实现的。

•我们进行了大量的模拟,以评估我们提出的协议的计算效率。性能评估表明,该协议可以显著减少认证的计算时间。特别是批量验证,与原文参考文献[14]、[15]相比,时间消耗减少70%以上。

2

****预备知识

1. 双线性配对

         图片

2. 无证书签名方案

(1)setup:TA随机选取XTA作为私钥,计算得到公钥YTA = XTA P,发布系统参数(l,p,P,e,G1,G2,H1,H2,YTA),其中图片

(2)Key-Extract: 签名者随机选取X’作为部分私钥,并计算部分公钥Y’=X’P。签名者计算Y’’ =H1(ID),并发送给TA。TA计算X’’=XTAY’’,发回签名者。因此签名者完整私钥(X’,X’’),完整公钥(Y’,Y’’);

(3) Sign:发送签名前,签名者选取随机数r,对消息m进行签名

图片

(4) Verify:发送签名前,签名者选取随机数r,对消息m进行签名

图片

式(3)的正确性如下:

图片

3

****AAPBV协议APBV协议包括初始化、注册、认证和批量验证四个阶段。在初始化阶段,TA初始化系统参数并发布给参与者和云。在注册阶段,参与者以真实身份向TA注册,并在TA的协助下生成完整的公钥和私钥。在认证阶段,参与者生成有效的签名,签名后上传到云端。
然后,云对参与者进行身份验证并解密消息。为了提高大规模深度学习中的计算效率,云可以同时对一批消息进行身份验证。
在批量验证阶段,如果有非法参与者上传无效签名的消息,可能会导致批量验证失败。在这种情况下,云启动DBV算法来动态地缩小批处理大小并重做验证。因此,可能会过滤不合法的消息。这样可以减少丢弃消息的数量,并为机器学习保存更多的合法消息。
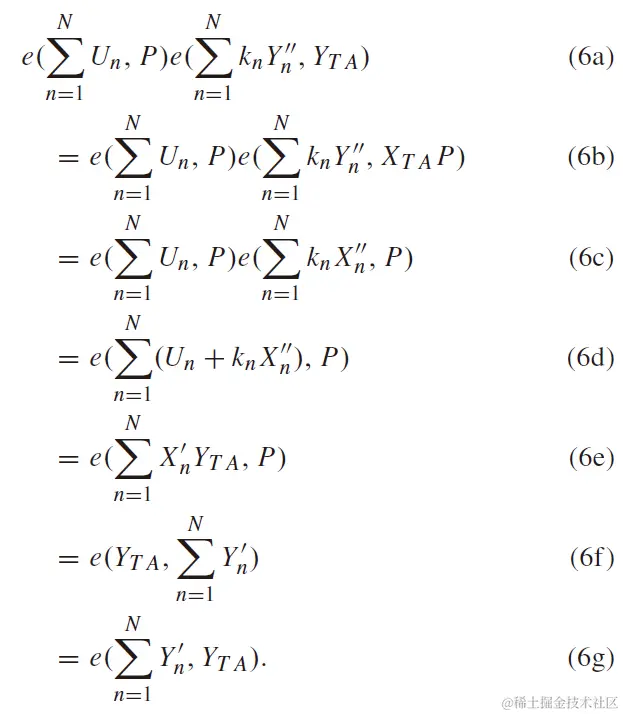
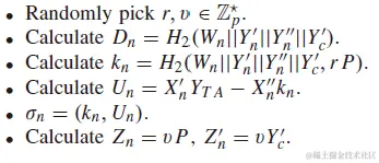
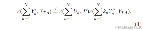
协议细节如下:(1)初始化:TA随机选取XTA作为TA的私钥,计算得到公钥YTA = XTA P,发布系统参数(l, p, P, e, G1, G2, H1, H2,H3, YTA)(2)注册:参与者和云都需要以真实身份向TA注册,才能加入系统。对于云,首先随机选择Xc作为其部分私钥,并计算Yc = XcP作为其部分公钥。其次,它通过安全通道将其身份IDc发送给TA。然后TA计算Yc = H1(ID), Xc = XTAYc,并将密钥对(Xc, Yc)返回给云。(IDc, Xc, Yc)存储在TA的记录中。云发布(Yc, Yc)作为其完整的公钥,并保留(Xc, Xc)作为其完整的私钥。同理,每个参与者Un的公钥为(Yn’,Yn’’),私钥为(Xn’,Xn’’)。(3)认证:对于每个参与者Un,在将更新后的模型参数Wn上传到云端之前,生成签名σn,并对Wn进行如下签名。图片 图片(4)批量验证云可以通过批量验证所有接收签名的有效性。给定请求列表R = {reqn = (Wn,σn, kn, Un, Dn, Z‘n)}Nn=1,进行批量验证如果式(4)成立,则列表中的所有签名都有效。图片式(4)的正确性如下图片否则,云将启动DBV算法来查找适当的批处理大小并重新进行批处理验证。图片

4

****实验结果

图片

从图3可以看出,我们提出的AAPBV在不同阶段的性能优于[12],但所消耗的时间高于[11]、[14]、[15]。因此,在一次验证中,我们提出的协议与[11],[14],[15]相比优势并不明显。原因是为了支持批量验证和更多的安全特性(如前向安全性和不可抵赖性),我们提出的协议消耗了更多的配对和乘法操作。图片如图4所示,[15]算法消耗的计算时间最多,而我们提出的AAPBV算法显著减少了时间消耗。特别是,在我们提出的协议中,时间消耗比[15]减少了约71%,比[14]减少了约80%。值得注意的是,与没有批量验证的情况相比,我们提出的协议中的批量验证减少了大约82%的时间成本。

综合来看,我们提出的AAPBV在批量验证中具有最好的时间效率。为了支持批量验证,我们的工作在单个验证中采用了更多的配对和乘法操作,在没有批量验证的情况下稍微牺牲了时间效率。由于最后的身份验证是通过批量验证进行的,因此牺牲是可以接受的。图片图片

图片

图5、图6、图7对比了我们的DBV与[29]、[30]的性能。在图5中,我们假设原批量大小为100。在图6中,我们认为100条消息中有5条无效消息。如所示,在我们提出的协议中,丢弃消息的数量显著减少。由于批量验证中丢弃的消息较少,全局模型收敛迭代次数较少,如图7所示。

本文参考:  SecurityLabUJN

作者:高丽

分享仅供学习参考,若有不当,请联系我们处理。

END

1.会议信息 | 2024年1月截稿的密码学与信息安全会议整理

2.论文分享|PEA:用差分隐私保护多方学习训练的模型

3.论文分享|边缘计算中使用数据和模型并行加速联邦学习

4. 论文分享|FedCP: 通过条件策略分离个性化联邦学习的特征信息

隐私计算研习社

隐私计算技术学习平台,日常分享隐私计算相关学习文章、课程、活动等,和大家一起成长!

172篇原创内容

**

公众号


图片图片

收录于合集 #联邦学习

 95个

上一篇论文分享|通过区块链系统保护隐私的拜占庭式鲁棒联邦学习

个人观点,仅供参考