每日一题:LeetCode-129. 求根节点到叶节点数字之和

58 阅读2分钟

刷题使我快乐,满脸开心.jpg

  • 来源:力扣(LeetCode)
  • 链接:leetcode.cn/problems/su…
  • 著作权归领扣网络所有。商业转载请联系官方授权,非商业转载请注明出处。

题目

给你一个二叉树的根节点 root ,树中每个节点都存放有一个 09 之间的数字。 每条从根节点到叶节点的路径都代表一个数字:

例如,从根节点到叶节点的路径 1 -> 2 -> 3 表示数字 123 。 计算从根节点到叶节点生成的 所有数字之和

叶节点 是指没有子节点的节点。

示例 1:

输入:root = [1,2,3]
输出:25
解释:
从根到叶子节点路径 1->2 代表数字 12
从根到叶子节点路径 1->3 代表数字 13
因此,数字总和 = 12 + 13 = 25

示例 2:

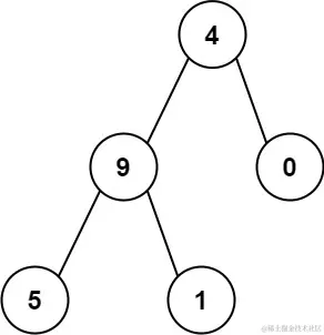
输入:root = [4,9,0,5,1]
输出:1026
解释:
从根到叶子节点路径 4->9->5 代表数字 495
从根到叶子节点路径 4->9->1 代表数字 491
从根到叶子节点路径 4->0 代表数字 40
因此,数字总和 = 495 + 491 + 40 = 1026

提示:

  • 树中节点的数目在范围 [1, 1000]
  • 0 <= Node.val <= 9
  • 树的深度不超过 10

思路

这道题其实就是一个DFS,从根往下遍历子节点,找到叶子节点时即可计入一个数字,加和即可~

代码

func sumNumbers(root *TreeNode) int {
	sum := 0
	var findSum func(*TreeNode, int)
	findSum = func(root *TreeNode, temp int) {
		temp = temp*10 + root.Val
		if root.Right == nil && root.Left == nil {
			sum += temp
		}
		if root.Left != nil {
			findSum(root.Left, temp)
		}
		if root.Right != nil {
			findSum(root.Right, temp)
		}
	}
	findSum(root, 0)
	return sum
}

欢迎关注公众号查看更多题目~

公众号.jpg