代码随想录day22| 二叉树part08(530、501、236)

96 阅读4分钟

235. 二叉搜索树的最近公共祖先

给定一个二叉搜索树, 找到该树中两个指定节点的最近公共祖先。

百度百科中最近公共祖先的定义为:“对于有根树 T 的两个结点 p、q,最近公共祖先表示为一个结点 x,满足 x 是 p、q 的祖先且 x 的深度尽可能大(一个节点也可以是它自己的祖先)。”

例如,给定如下二叉搜索树:  root = [6,2,8,0,4,7,9,null,null,3,5]

 

示例 1:

输入: root = [6,2,8,0,4,7,9,null,null,3,5], p = 2, q = 8
输出: 6 
解释: 节点 2 和节点 8 的最近公共祖先是 6

示例 2:

输入: root = [6,2,8,0,4,7,9,null,null,3,5], p = 2, q = 4
输出: 2
解释: 节点 2 和节点 4 的最近公共祖先是 2, 因为根据定义最近公共祖先节点可以为节点本身。

思路:

这道题与236相似,但因为是二叉搜索树,所以更加简单

  1. 先序遍历,如果先访问的p,那么公共祖先一定不能为p的子节点,也就是说没必要向下访问了
  2. 根据二叉搜索树的特征,若p,q的值都比root小,则公共祖先出现在左子树,都比root大,则出现在右子树,若一个大一个小,则公共祖先为root
/**
 * @param {TreeNode} root
 * @param {TreeNode} p
 * @param {TreeNode} q
 * @return {TreeNode}
 */
var lowestCommonAncestor = function(root, p, q) {
    if(root === null || root === p || root===q) return root
    if(root.val > p.val && root.val > q.val){
        return lowestCommonAncestor(root.left, p, q)
    }
    if(root.val < p.val && root.val < q.val){
        return lowestCommonAncestor(root.right, p, q)
    }
    return root
    
};

701. 二叉搜索树中的插入操作

给定二叉搜索树(BST)的根节点 root 和要插入树中的值 value ,将值插入二叉搜索树。 返回插入后二叉搜索树的根节点。 输入数据 保证 ,新值和原始二叉搜索树中的任意节点值都不同。

注意,可能存在多种有效的插入方式,只要树在插入后仍保持为二叉搜索树即可。 你可以返回 任意有效的结果 。

 

示例 1:

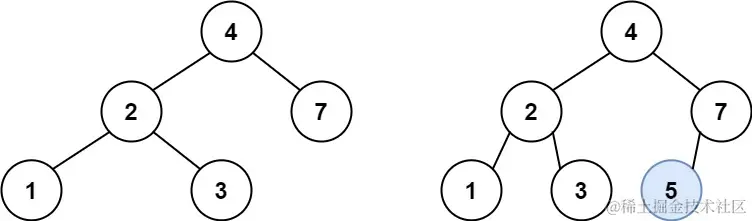
输入: root = [4,2,7,1,3], val = 5
输出: [4,2,7,1,3,5]
解释: 另一个满足题目要求可以通过的树是:

示例 2:

输入: root = [40,20,60,10,30,50,70], val = 25
输出: [40,20,60,10,30,50,70,null,null,25]

示例 3:

输入: root = [4,2,7,1,3,null,null,null,null,null,null], val = 5
输出: [4,2,7,1,3,5]

思路:

  1. 如果root不存在,则 root为new TreeNode(val)
  2. 若值大于root,则该值会新增在root的右子树中
  3. 若该值小于root,则新增在左子树中
/**
 * @param {TreeNode} root
 * @param {number} val
 * @return {TreeNode}
 */
var insertIntoBST = function (root, val) {
    const node = new TreeNode(val)
    if (root === null) {
        root = node
        return root
    }
    if (val > root.val) {
        root.right ? insertIntoBST(root.right,val) : root.right = node
    }
    if(val < root.val){
        root.left ? insertIntoBST(root.left,val ) : root.left = node
    }
    return root
};

450. 删除二叉搜索树中的节点

给定一个二叉搜索树的根节点 root 和一个值 key,删除二叉搜索树中的 key 对应的节点,并保证二叉搜索树的性质不变。返回二叉搜索树(有可能被更新)的根节点的引用。

一般来说,删除节点可分为两个步骤:

  1. 首先找到需要删除的节点;
  2. 如果找到了,删除它。

 

示例 1:

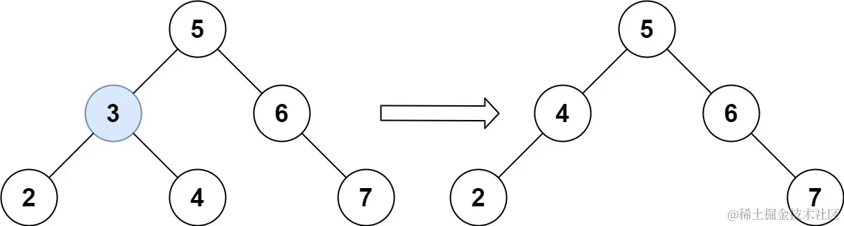
输入: root = [5,3,6,2,4,null,7], key = 3
输出: [5,4,6,2,null,null,7]
解释: 给定需要删除的节点值是 3,所以我们首先找到 3 这个节点,然后删除它。
一个正确的答案是 [5,4,6,2,null,null,7], 如下图所示。
另一个正确答案是 [5,2,6,null,4,null,7]。

示例 2:

输入: root = [5,3,6,2,4,null,7], key = 0
输出: [5,3,6,2,4,null,7]
解释: 二叉树不包含值为 0 的节点

示例 3:

输入: root = [], key = 0
输出: []

思路

  1. 如果是叶子节点,直接删除
  2. 如果左右子树只有一边,那就直接替换
  3. 如果两边都有,那指向左子树的最大节点 (或者右子树的最小节点)
const getMax = (node) => {
    while (node.right) {
        node = node.right
    }
    return node
}
/**
 * @param {TreeNode} root
 * @param {number} key
 * @return {TreeNode}
 */

var deleteNode = function (root, key) {
    if (!root) return null
    if (root.val > key) {
        root.left = deleteNode(root.left, key)
    } else if (root.val < key) {
        root.right = deleteNode(root.right, key)
    } else {
        if (root.left && root.right) {
            const val = getMax(root.left).val
            root.left = deleteNode(root.left, val)
            root.val = val
        } else if (!root.left && !root.right) {
            root = null
        } else {
            root = root.left || root.right
        }
    }
    return root
};