MPS | 聊聊功率因数校正那些事儿

146 阅读4分钟

相信大家都有注意到一般工业用电电费会比居民电费贵一些?

很多人可能会说那是因为供电电网不同,维修维护难,传输成本高。

但为啥传输成本会高呢?

工业用电传输成本高的原因,从技术角度来说,是因为工业应用中用电设备多为大功率电感或容性负载,其功率因数相对居民用电设备的功率因数较低,从而导致无功功率较高,损耗大,因此供电成本就高。

 而居民用电普遍中小功率设备,耗电小,功率因数高,无功功率损耗少。

upfile

那在交流电中,什么是功率因数?

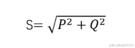
功率因数 λ(PF)指的是有功功率P与视在功率 S(总耗电量VI)之间的关系,即有功功率 P 与视在功率 S(总耗电量VI)的比值。

λ(PF)=有功功率P/视在功率S

此外,视在功率S, 与有功功率P和无功功率Q另一关系式为:

upfile

由此可见功率因数可以衡量电力被有效利用的程度,当功率因数值越大,代表其电力利用率越高。

在交流输入电网中,根据实际工作波形,也可用一数学公式来表征功率因数 (PF):

upfile

从以上公式可看出影响 PF 的两个主要因素 cosφ 和 THD,这里相位差 φ 如下图所示,为输入交流电压波形和负载电流波形的相位差。

upfile

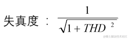
而 THD(Total harmonic distortion)为总谐波失真,即指输入电流的畸变程度。

upfile

upfile

交流电网中,谐波是相对于基波而言的,如一个频率为50Hz的正弦电压220VAC,施加在非线性负载上,其输入电流波形发生失真,其波形可以用傅里叶展开为各次谐波的分量相加,而总谐波失真相当于二次以上谐波分量有效值与基波分量有效值比值的方和根。

upfile

总谐波失真(THD)值用于表征谐波引起的波形失真的程度。畸变程度越大,THD 值越大,PF 值将会越小。为提高用电效率,针对各种用电设备的谐波电流要求,我国都制定了相应的标准。

既然功率因数这么重要,如何用电路来实现高功率因数校正呢?

以一般无功率因数矫正电路下图为例,整流桥后只有电容滤波,其得到的输入电流只能是严重畸变的波形,这是因为整流桥后电容滤波后直接给负载设备供电,这样使得输入电流导通角非常的小,功率因数很差。

upfile

无功率因数校正电路

其电压和电流波形如下:

upfile

在现在AC/DC电源中,功率因数校正电路目前主要使用的是有源功率因数校正电路(APFC),APFC 由电感、电容及半导体开关器件组成,体积小、并通过专用 IC 去控制电流跟随正弦电压波形的变化,电流正弦化程度高,PF 可以达到 0.99,非常接近于1的水平。

下图所示是一个典型的 Boost APFC 电路,通过高频开关控制电感电流的波形。

upfile

有源功率因数校正电路

其得到的输入电流波形和电压波形如下图:

upfile

那么输入电流的正弦化程度是如何实现的呢?这里以一个典型的 Boost APFC 控制电路为例说明。

upfile

Boost APFC 控制电路

红色线框内 L1, D4,Q1,C6 组成 Boost 主功率回路部分,FB, MULT, CS 分别为输出电压反馈,输入正弦波相位跟踪和电感电流采样信号。找正品元器件,上唯样商城。

在一个开关周期内,通过 FB 检测 Vo,误差放大后得到的 Comp 值与 MULT 脚信号做乘法,得到一个正弦的参考基准值。然后,该参考基准值被逐周期地与电感电流采样信号进行比较,完成 MOS 管关断逻辑。

待 ZCS 脚检测到 Boost 电感电流降至0后,触发 MOS 管开通逻辑,这样实现一个完整的开关周期。另外 C1 电容将对电感电流进行平滑滤波,使输入电流波形更加正弦平滑,从而实现功率因数的校正,得到一个接近于1的高PF值。

这里讲到 APFC 的控制原理,实际是一种典型的临界电流控制模式介绍,多用于 300W 以内的电源设计。而大多针对更高功率的应用,则选用连续电流控制模式(CCM)的功率因数校正电路。对于轻载效率有要求的地方,有的需要增加断续电流控制模式(DCM), 从而降低工作频率,达到改善开关损耗和 EMI 的效果。