701. 二叉搜索树中的插入操作

41 阅读1分钟

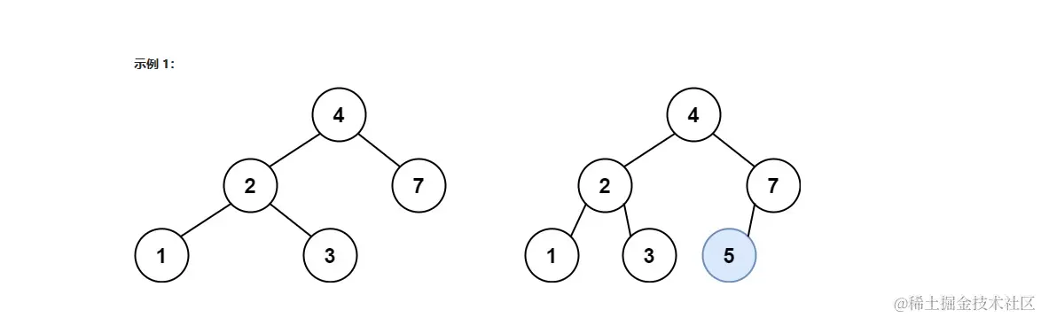
701. 二叉搜索树中的插入操作 - 力扣(LeetCode) 我们发现我们的要的结果总是在叶子节点。

因此我们可以遍历到叶子节点,遍历到NULL之后就结束遍历,把val值插入:

image.png

然后我们把val值向上返回,返回到跟节点,跟节点就是我们要提交的值。

image.png