硬件开发笔记(十五):RK3568底板电路VGA显示接口原理图分析

548 阅读2分钟

前言

  前面输出了HDMI,LVDS,MIPI-DSI,这里还有一个常用的显示接口就是VGA了,这个用的不多了,一般板子都是hdmi了。   本篇分析底板VGA电路。


VGA接口

  VGA(Video Graphics Array)视频图形阵列是IBM于1987年提出的一个使用模拟信号的电脑显示标准。VGA接口即电脑采用VGA标准输出数据的专用接口。VGA接口共有15针,分成3排,每排5个孔,显卡上应用最为广泛的接口类型,绝大多数显卡都带有此种接口。它传输红、绿、蓝模拟信号以及同步信号(水平和垂直信号)。   在这里插入图片描述


VGA电路分析

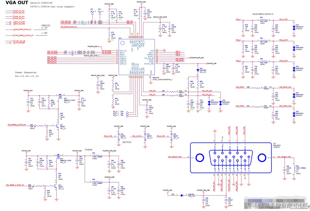
开发板的底板原理图

VGA接口

  在这里插入图片描述

  这里底板还有点复杂,我们从引脚引出或者VGA接口开始分析,从VGA黑核心板出来的引脚开始:   在这里插入图片描述   看起来,这里的VGA是从EDP信号转换出来的,我们看EDP,也输出了EDP的接口信号:   在这里插入图片描述

  确认是转换出来的:   在这里插入图片描述

  使用的是RTD2166芯片:   在这里插入图片描述

  这是DP转VGA方案芯片(IT6516/RTD2166/CS5212),所以底板的VGA是DP转换方案出来的。 TP_0.7并未实际有连接,可能是做得孔洞,方便测量电路电压是否完好(跟方案商确认,这地方测量是3.3V的表示正常)。   在这里插入图片描述

  用的是转换方案,这个相当于一个DP转VGA的方案做的模块,所以这个模块可以单独弄出来做个板子进行测试。

接插件封装

  在这里插入图片描述

  在这里插入图片描述

     在这里插入图片描述

QFN封装

  QFN(Quad Flat No-leads Package,方形扁平无引脚封装),表面贴装型封装之一。QFN 是日本电子机械工业 会规定的名称。封装四侧配置有电极触点,由于无引脚,贴装占有面积比QFP 小,高度 比QFP 低。但是,当印刷基板与封装之间产生应力时,在电极接触处就不能得到缓解。因此电 极触点 难于做到QFP 的引脚那样多,一般从14 到100 左右。材料有陶瓷和塑料两种。当有LCC 标记时基本上都是陶瓷QFN。电极触点中心距1.27mm。塑料QFN 是以玻璃环氧树脂印刷基板基材的一种低成本封装。电极触点中心距除1.27mm 外, 还有0.65mm 和0.5mm 两种。这种封装也称为塑料LCC、PCLC、P-LCC 等。   在这里插入图片描述


总结

  由于不是芯片直接输出的,VGA我们目前不考虑做到我们自己的底板上,直接使用hdmi转vga模块即可。