这些Java并发容器,你都了解吗?

411 阅读12分钟

前言

在多线程环境下,数据的并发访问和修改是无法避免的问题。

为了解决这个问题,Java 提供了一系列并发容器,这些容器在内部已经处理了并发问题,使得我们可以在多线程环境下安全地访问和修改数据。


并发容器

1.ConcurrentHashMap 并发版 HashMap

最常见的并发容器之一,可以用作并发场景下的缓存。底层依然是哈希表,但在 JAVA 8 中有了不小的改变,而 JAVA 7 和 JAVA 8 都是用的比较多的版本,因此经常会将这两个版本的实现方式做一些比较(比如面试中)。

一个比较大的差异就是,JAVA 7 中采用分段锁来减少锁的竞争,JAVA 8 中放弃了分段锁,采用 CAS(一种乐观锁),同时为了防止哈希冲突严重时退化成链表(冲突时会在该位置生成一个链表,哈希值相同的对象就链在一起),会在链表长度达到阈值(8)后转换成红黑树(比起链表,树的查询效率更稳定)。

示例
import java.util.concurrent.*;
​
public class ConcurrentHashMapExample {
    public static void main(String[] args) {
        // Creating a ConcurrentHashMap
        ConcurrentHashMap<String, String> map = new ConcurrentHashMap<String, String>();
​
        // Adding elements to the ConcurrentHashMap
        map.put("Key1", "Value1");
        map.put("Key2", "Value2");
        map.put("Key3", "Value3");
​
        // Printing the ConcurrentHashMap
        System.out.println("ConcurrentHashMap: " + map);
    }
}
​

2.CopyOnWriteArrayList 并发版 ArrayList

并发版 ArrayList,底层结构也是数组,和 ArrayList 不同之处在于:当新增和删除元素时会创建一个新的数组,在新的数组中增加或者排除指定对象,最后用新增数组替换原来的数组。

CopyOnWriteArrayList 的主要特性是,每当列表修改时,例如添加或删除元素,它都会创建列表的一个新副本。原始列表和新副本都可以进行并发读取,这样就可以在不锁定整个列表的情况下进行并发读取。这种方法在读取操作远多于写入操作的场景中非常有用。

适用场景:由于读操作不加锁,写(增、删、改)操作加锁,因此适用于读多写少的场景。

局限:由于读的时候不会加锁(读的效率高,就和普通 ArrayList 一样),读取的当前副本,因此可能读取到脏数据。如果介意,建议不用。

看看源码感受下:

image-20201023223825079

示例
import java.util.concurrent.*;
​
public class CopyOnWriteArrayListExample {
    public static void main(String[] args) {
        // 创建一个 CopyOnWriteArrayList
        CopyOnWriteArrayList<String> list = new CopyOnWriteArrayList<String>();
​
        // 向 CopyOnWriteArrayList 添加元素
        list.add("Element1");
        list.add("Element2");
        list.add("Element3");
​
        // 打印 CopyOnWriteArrayList
        System.out.println("CopyOnWriteArrayList: " + list);
    }
}

3.CopyOnWriteArraySet 并发 Set

基于 CopyOnWriteArrayList 实现(内含一个 CopyOnWriteArrayList 成员变量),也就是说底层是一个数组,意味着每次 add 都要遍历整个集合才能知道是否存在,不存在时需要插入(加锁)。

CopyOnWriteArraySet 的工作原理与 CopyOnWriteArrayList 类似。每当发生修改操作(如添加或删除元素)时,它都会创建集合的一个新副本。原始集合和新副本都可以进行并发读取,这样就可以在不锁定整个集合的情况下进行并发读取。这种方法在读取操作远多于写入操作的场景中非常有用。

适用场景:在 CopyOnWriteArrayList 适用场景下加一个,集合别太大(全部遍历伤不起)。

示例
import java.util.concurrent.*;
​
public class CopyOnWriteArraySetExample {
    public static void main(String[] args) {
        // 创建一个 CopyOnWriteArraySet
        CopyOnWriteArraySet<String> set = new CopyOnWriteArraySet<String>();
​
        // 向 CopyOnWriteArraySet 添加元素
        set.add("Element1");
        set.add("Element2");
        set.add("Element3");
​
        // 打印 CopyOnWriteArraySet
        System.out.println("CopyOnWriteArraySet: " + set);
    }
}
​

4.ConcurrentLinkedQueue 并发队列 (基于链表)

基于链表实现的并发队列,使用乐观锁 (CAS) 保证线程安全。因为数据结构是链表,所以理论上是没有队列大小限制的,也就是说添加数据一定能成功。

ConcurrentLinkedQueue 是 Java 并发包的一部分,它是基于链接节点的无界线程安全队列。它按照 FIFO(先进先出)的原则对元素进行排序。

ConcurrentLinkedQueue 的主要优点是它允许完全并发的插入,并且使用了一种高效的“wait-free”算法。

示例
import java.util.concurrent.*;
​
public class ConcurrentLinkedQueueExample {
    public static void main(String[] args) {
        // 创建一个 ConcurrentLinkedQueue
        ConcurrentLinkedQueue<String> queue = new ConcurrentLinkedQueue<String>();
​
        // 向 ConcurrentLinkedQueue 添加元素
        queue.add("Element1");
        queue.add("Element2");
        queue.add("Element3");
​
        // 打印 ConcurrentLinkedQueue
        System.out.println("ConcurrentLinkedQueue: " + queue);
    }
}
​

5.ConcurrentLinkedDeque 并发队列 (基于双向链表)

基于双向链表实现的并发队列,可以分别对头尾进行操作,因此除了先进先出 (FIFO),也可以先进后出(FILO),当然先进后出的话应该叫它栈了。

ConcurrentLinkedDeque 是 Java 并发包的一部分,它是一个基于链接节点的无界并发双端队列。在 ConcurrentLinkedDeque 中,添加、删除等操作可以在队列的两端进行,使其具有更高的并发性。

示例
import java.util.concurrent.*;
​
public class ConcurrentLinkedDequeExample {
    public static void main(String[] args) {
        // 创建一个 ConcurrentLinkedDeque
        ConcurrentLinkedDeque<String> deque = new ConcurrentLinkedDeque<String>();
​
        // 向 ConcurrentLinkedDeque 添加元素
        deque.add("Element1");
        deque.addFirst("Element2");
        deque.addLast("Element3");
​
        // 打印 ConcurrentLinkedDeque
        System.out.println("ConcurrentLinkedDeque: " + deque);
    }
}
​

6.ConcurrentSkipListMap 基于跳表的并发 Map

ConcurrentSkipListMap 是 Java 并发包的一部分,它是一个线程安全的排序映射表。它使用跳表的数据结构来保证元素的有序性和并发性。

跳表是一种可以进行二分查找的有序链表。ConcurrentSkipListMap 提供了预期的平均 log(n) 时间成本来执行 containsKeygetputremove 操作,并且它的并发性通常优于基于树的算法。

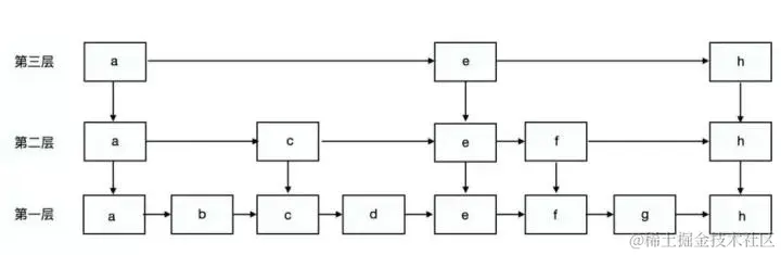
SkipList 即跳表,跳表是一种空间换时间的数据结构,通过冗余数据,将链表一层一层索引,达到类似二分查找的效果

image-20201023223853743

示例
import java.util.concurrent.*;
​
public class ConcurrentSkipListMapExample {
    public static void main(String[] args) {
        // 创建一个 ConcurrentSkipListMap
        ConcurrentSkipListMap<String, String> map = new ConcurrentSkipListMap<String, String>();
​
        // 向 ConcurrentSkipListMap 添加元素
        map.put("Key1", "Value1");
        map.put("Key2", "Value2");
        map.put("Key3", "Value3");
​
        // 打印 ConcurrentSkipListMap
        System.out.println("ConcurrentSkipListMap: " + map);
    }
}
​

7.ConcurrentSkipListSet 基于跳表的并发 Set

类似 HashSet 和 HashMap 的关系,ConcurrentSkipListSet 里面就是一个 ConcurrentSkipListMap,

ConcurrentSkipListSet 是 Java 并发包的一部分,它是一个线程安全的排序集合。它使用跳表的数据结构来保证元素的有序性和并发性。

跳表是一种可以进行二分查找的有序链表。ConcurrentSkipListSet 提供了预期的平均 log(n) 时间成本来执行 containsaddremove 操作,并且它的并发性通常优于基于树的算法。

示例
import java.util.concurrent.*;
​
public class ConcurrentSkipListSetExample {
    public static void main(String[] args) {
        // 创建一个 ConcurrentSkipListSet
        ConcurrentSkipListSet<String> set = new ConcurrentSkipListSet<String>();
​
        // 向 ConcurrentSkipListSet 添加元素
        set.add("Element1");
        set.add("Element2");
        set.add("Element3");
​
        // 打印 ConcurrentSkipListSet
        System.out.println("ConcurrentSkipListSet: " + set);
    }
}
​

8.ArrayBlockingQueue 阻塞队列 (基于数组)

ArrayBlockingQueue 是 Java 并发包的一部分,它是一个基于数组的有界阻塞队列。此队列按 FIFO(先进先出)原则对元素进行排序。

ArrayBlockingQueue 在尝试插入元素到已满队列或从空队列中移除元素时,会导致线程阻塞,直到有空间或元素可用。

基于数组实现的可阻塞队列,构造时必须制定数组大小,往里面放东西时如果数组满了便会阻塞直到有位置(也支持直接返回和超时等待),通过一个锁 ReentrantLock 保证线程安全。

image-20201023223912400

乍一看会有点疑惑,读和写都是同一个锁,那要是空的时候正好一个读线程来了不会一直阻塞吗?

答案就在 notEmpty、notFull 里,这两个出自 lock 的小东西让锁有了类似 synchronized + wait + notify 的功能。传送门 → 终于搞懂了 sleep/wait/notify/notifyAll

示例
import java.util.concurrent.*;
​
public class ArrayBlockingQueueExample {
    public static void main(String[] args) {
        // 创建一个 ArrayBlockingQueue
        ArrayBlockingQueue<String> queue = new ArrayBlockingQueue<String>(3);
​
        // 向 ArrayBlockingQueue 添加元素
        try {
            queue.put("Element1");
            queue.put("Element2");
            queue.put("Element3");
        } catch (InterruptedException e) {
            e.printStackTrace();
        }
​
        // 打印 ArrayBlockingQueue
        System.out.println("ArrayBlockingQueue: " + queue);
    }
}
​

9.LinkedBlockingQueue 阻塞队列 (基于链表)

LinkedBlockingQueue 是 Java 并发包的一部分,它是一个基于链表的可选有界阻塞队列。此队列按照 FIFO(先进先出)的原则对元素进行排序。

LinkedBlockingQueue 在尝试插入元素到已满队列或从空队列中移除元素时,会导致线程阻塞,直到有空间或元素可用。

基于链表实现的阻塞队列,想比与不阻塞的 ConcurrentLinkedQueue,它多了一个容量限制,如果不设置默认为 int 最大值。

示例
import java.util.concurrent.*;
​
public class LinkedBlockingQueueExample {
    public static void main(String[] args) {
        // 创建一个 LinkedBlockingQueue
        LinkedBlockingQueue<String> queue = new LinkedBlockingQueue<String>(3);
​
        // 向 LinkedBlockingQueue 添加元素
        try {
            queue.put("Element1");
            queue.put("Element2");
            queue.put("Element3");
        } catch (InterruptedException e) {
            e.printStackTrace();
        }
​
        // 打印 LinkedBlockingQueue
        System.out.println("LinkedBlockingQueue: " + queue);
    }
}
​

10.LinkedBlockingDeque 阻塞队列 (基于双向链表)

LinkedBlockingDeque 是 Java 并发包的一部分,它是一个基于链表的可选有界阻塞双端队列。此队列按照 FIFO(先进先出)的原则对元素进行排序。

LinkedBlockingDeque 在尝试插入元素到已满队列或从空队列中移除元素时,会导致线程阻塞,直到有空间或元素可用。双端队列的优势在于可以从两端插入或移除元素。

类似 LinkedBlockingQueue,但提供了双向链表特有的操作。

示例
import java.util.concurrent.*;
​
public class LinkedBlockingDequeExample {
    public static void main(String[] args) {
        // 创建一个 LinkedBlockingDeque
        LinkedBlockingDeque<String> deque = new LinkedBlockingDeque<String>(3);
​
        // 向 LinkedBlockingDeque 添加元素
        try {
            deque.putFirst("Element1");
            deque.putLast("Element2");
            deque.putFirst("Element3");
        } catch (InterruptedException e) {
            e.printStackTrace();
        }
​
        // 打印 LinkedBlockingDeque
        System.out.println("LinkedBlockingDeque: " + deque);
    }
}
​

11.PriorityBlockingQueue 线程安全的优先队列

PriorityBlockingQueue 是 Java 并发包的一部分,它是一个无界的并发队列。它使用了和类 java.util.PriorityQueue 一样的排序规则,并且能够确保在并发环境下的线程安全。

PriorityBlockingQueue 中的元素按照自然顺序或者由比较器提供的顺序进行排序。队列不允许使用 null 元素。

构造时可以传入一个比较器,可以看做放进去的元素会被排序,然后读取的时候按顺序消费。某些低优先级的元素可能长期无法被消费,因为不断有更高优先级的元素进来。

示例
import java.util.concurrent.*;
​
public class PriorityBlockingQueueExample {
    public static void main(String[] args) {
        // 创建一个 PriorityBlockingQueue
        PriorityBlockingQueue<String> queue = new PriorityBlockingQueue<String>();
​
        // 向 PriorityBlockingQueue 添加元素
        queue.add("Element1");
        queue.add("Element2");
        queue.add("Element3");
​
        // 打印 PriorityBlockingQueue
        System.out.println("PriorityBlockingQueue: " + queue);
    }
}
​

12.SynchronousQueue 数据同步交换的队列

SynchronousQueue 是 Java 并发包的一部分,它是一个不存储元素的阻塞队列。每一个 put 操作必须等待一个 take 操作,否则不能继续添加元素,反之亦然。

这种特性使 SynchronousQueue 成为线程之间传递数据的好工具。它可以看作是一个传球手,负责把生产者线程处理的数据直接传递给消费者线程。

一个虚假的队列,因为它实际上没有真正用于存储元素的空间,每个插入操作都必须有对应的取出操作,没取出时无法继续放入。

示例
import java.util.concurrent.SynchronousQueue;
​
public class Main {
    
    public static void main(String[] args) {
        SynchronousQueue<Integer> queue = new SynchronousQueue<>();
        new Thread(()->{
            try{
                for(int i=0;;i++){
                    System.out.println("放入:" + i);
                    queue.put(i);
                }
            }catch (InterruptedException e){
                e.printStackTrace();
            }
        }).start();
​
        new Thread(()->{
            try{
                while(true){
                    System.out.println("取出:" + queue.take());
                    Thread.sleep((long)(Math.random()*2000));
                }
            }catch (InterruptedException e){
                e.printStackTrace();
            }
        }).start();
    }
}

运行结果:

取出:0
放入:0
取出:1
放入:1
放入:2
取出:2
取出:3
放入:3
取出:4
放入:4
...
...

可以看到,写入的线程没有任何 sleep,可以说是全力往队列放东西,而读取的线程又很不积极,读一个又 sleep 一会。输出的结果却是读写操作成对出现。

JAVA 中一个使用场景就是 Executors.newCachedThreadPool(),创建一个缓存线程池。

image-20201023223932760

13.LinkedTransferQueue 基于链表的数据交换队列

LinkedTransferQueue 是 Java 并发包的一部分,它是一个由链表结构组成的无界转移阻塞队列。队列按照 FIFO(先进先出)的原则对元素进行排序。

LinkedTransferQueue 的一个特性是,它可以尝试将元素直接转移给消费者,如果没有等待的消费者,元素就会被添加到队列的尾部,等待消费者来获取。

实现了接口 TransferQueue,通过 transfer 方法放入元素时,如果发现有线程在阻塞在取元素,会直接把这个元素给等待线程。如果没有人等着消费,那么会把这个元素放到队列尾部,并且此方法阻塞直到有人读取这个元素。和 SynchronousQueue 有点像,但比它更强大。

示例
import java.util.concurrent.*;
​
public class LinkedTransferQueueExample {
    public static void main(String[] args) {
        // 创建一个 LinkedTransferQueue
        LinkedTransferQueue<String> queue = new LinkedTransferQueue<String>();
​
        // 启动一个新线程来从 LinkedTransferQueue 取出元素
        new Thread(() -> {
            try {
                System.out.println("Taken: " + queue.take());
            } catch (InterruptedException e) {
                e.printStackTrace();
            }
        }).start();
​
        // 向 LinkedTransferQueue 添加一个元素
        try {
            queue.transfer("Element");
        } catch (InterruptedException e) {
            e.printStackTrace();
        }
    }
}
​

14.DelayQueue 延时队列

DelayQueue 是 Java 并发包的一部分,它是一个无界阻塞队列,只有在延迟期满时才能从中提取元素。此队列的头部是延迟期满后保存时间最长的元素。如果延迟都还没有期满,则队列没有头部,并且 poll 将返回 null

元素在 DelayQueue 中的顺序是按照其到期时间的先后顺序进行排序的,越早到期的元素越排在队列前面。延迟队列常用于实现定时任务功能。

可以使放入队列的元素在指定的延时后才被消费者取出,元素需要实现 Delayed 接口。

示例
import java.util.concurrent.*;
​
public class DelayQueueExample {
    public static void main(String[] args) {
        // 创建一个 DelayQueue
        DelayQueue<DelayedElement> queue = new DelayQueue<DelayedElement>();
​
        // 向 DelayQueue 添加一个元素,延迟 3 秒
        queue.put(new DelayedElement(3000, "Element"));
​
        // 从 DelayQueue 获取元素
        try {
            DelayedElement element = queue.take();
            System.out.println("Taken: " + element);
        } catch (InterruptedException e) {
            e.printStackTrace();
        }
    }
}
​
class DelayedElement implements Delayed {
    private long delayTime; // 延迟时间
    private long expire;  // 到期时间
    private String element; // 元素数据
​
    public DelayedElement(long delay, String element) {
        this.delayTime = delay;
        this.element = element;
        this.expire = System.currentTimeMillis() + delay;
    }
​
    @Override
    public long getDelay(TimeUnit unit) {
        return unit.convert(expire - System.currentTimeMillis(), TimeUnit.MILLISECONDS);
    }
​
    @Override
    public int compareTo(Delayed o) {
        return (int) (this.getDelay(TimeUnit.MILLISECONDS) - o.getDelay(TimeUnit.MILLISECONDS));
    }
​
    @Override
    public String toString() {
        return element;
    }
}
​

总结

从上面的介绍总总结有以下几种容器类

  1. ConcurrentHashMap:并发版 HashMap
  2. CopyOnWriteArrayList:并发版 ArrayList
  3. CopyOnWriteArraySet:并发 Set
  4. ConcurrentLinkedQueue:并发队列 (基于链表)
  5. ConcurrentLinkedDeque:并发队列 (基于双向链表)
  6. ConcurrentSkipListMap:基于跳表的并发 Map
  7. ConcurrentSkipListSet:基于跳表的并发 Set
  8. ArrayBlockingQueue:阻塞队列 (基于数组)
  9. LinkedBlockingQueue:阻塞队列 (基于链表)
  10. LinkedBlockingDeque:阻塞队列 (基于双向链表)
  11. PriorityBlockingQueue:线程安全的优先队列
  12. SynchronousQueue:读写成对的队列
  13. LinkedTransferQueue:基于链表的数据交换队列
  14. DelayQueue:延时队列

Java 并发容器为处理多线程环境下的数据访问和修改提供了强大的工具。

通过了解和学习这些并发容器,我们可以更好地理解并发编程,更有效地处理并发问题。

无论你是正在学习 Java,还是已经在使用 Java 进行开发,我都强烈建议你深入了解这些并发容器,它们将在你的并发编程之路上起到重要的作用。


写在最后

感谢您的支持和鼓励! 😊🙏

如果大家对相关文章感兴趣,可以关注公众号"架构殿堂",会持续更新AIGC,java基础面试题, netty, spring boot, spring cloud等系列文章,一系列干货随时送达!