刷题49 二叉树中的最大路径和

59 阅读1分钟

二叉树中的 路径 被定义为一条节点序列,序列中每对相邻节点之间都存在一条边。同一个节点在一条路径序列中 至多出现一次 。该路径 至少包含一个 节点,且不一定经过根节点。

路径和 是路径中各节点值的总和。

给你一个二叉树的根节点 root ,返回其 最大路径和 。

 

示例 1:

输入: root = [1,2,3]
输出: 6
解释: 最优路径是 2 -> 1 -> 3 ,路径和为 2 + 1 + 3 = 6

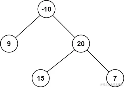
示例 2:

输入: root = [-10,9,20,null,null,15,7]
输出: 42
解释: 最优路径是 15 -> 20 -> 7 ,路径和为 15 + 20 + 7 = 42

 

提示:

  • 树中节点数目范围是 [1, 3 * 104]
  • -1000 <= Node.val <= 1000

题解:

class Solution {
  int maxresult=Integer.MIN_VALUE;
public int maxPathSum(TreeNode root) {
    if(root==null) return 0;
    dp(root);
    return maxresult;
}
public int dp(TreeNode root){
    if(root==null) return 0;
    int left=Math.max(0,dp(root.left));
    int right=Math.max(0,dp(root.right));
    maxresult=Math.max(maxresult,left+right+root.val);
    return Math.max(left,right)+root.val;
    }
}