2477. 到达首都的最少油耗 : 逐步讲解最低油耗求解思路

2,226 阅读5分钟

题目描述

这是 LeetCode 上的 2477. 到达首都的最少油耗 ,难度为 中等

Tag : 「DFS」

给你一棵 n 个节点的树(一个无向、连通、无环图),每个节点表示一个城市,编号从 0n - 1,且恰好有 n - 1 条路。

0 是首都。给你一个二维整数数组 roads,其中 roads[i]=[ai,bi]roads[i] = [a_{i}, b_{i}] ,表示城市 aia_{i}bib_{i} 之间有一条 双向路 。

每个城市里有一个代表,他们都要去首都参加一个会议。

每座城市里有一辆车。给你一个整数 seats 表示每辆车里面座位的数目。

城市里的代表可以选择乘坐所在城市的车,或者乘坐其他城市的车。相邻城市之间一辆车的油耗是一升汽油。

请你返回到达首都最少需要多少升汽油。

示例 1:

输入:roads = [[0,1],[0,2],[0,3]], seats = 5

输出:3

解释:
- 代表 1 直接到达首都,消耗 1 升汽油。
- 代表 2 直接到达首都,消耗 1 升汽油。
- 代表 3 直接到达首都,消耗 1 升汽油。
最少消耗 3 升汽油。

示例 2:

输入:roads = [[3,1],[3,2],[1,0],[0,4],[0,5],[4,6]], seats = 2

输出:7

解释:
- 代表 2 到达城市 3 ,消耗 1 升汽油。
- 代表 2 和代表 3 一起到达城市 1 ,消耗 1 升汽油。
- 代表 2 和代表 3 一起到达首都,消耗 1 升汽油。
- 代表 1 直接到达首都,消耗 1 升汽油。
- 代表 5 直接到达首都,消耗 1 升汽油。
- 代表 6 到达城市 4 ,消耗 1 升汽油。
- 代表 4 和代表 6 一起到达首都,消耗 1 升汽油。
最少消耗 7 升汽油。

示例 3:

输入:roads = [], seats = 1

输出:0

解释:没有代表需要从别的城市到达首都。

提示:

  • 1<=n<=1051 <= n <= 105
  • roads.length=n1roads.length = n - 1
  • roads[i].length=2roads[i].length = 2
  • 0<=ai,bi<n0 <= a_{i}, b_{i} < n
  • ai!=bia_{i} != b_{i}
  • roads 表示一棵合法的树。
  • 1<=seats<=1051 <= seats <= 10^5

DFS

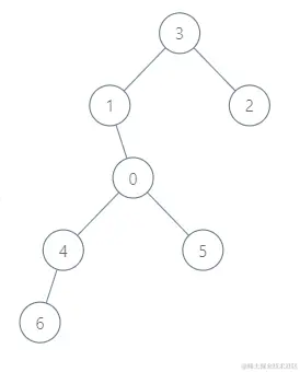
将双向图看作是以节点 0 为根的有向树,从每个节点出发往 0 前行,可看作是自底向上的移动过程。

seats = 1 时,每个节点前往 0 的过程相互独立,总油耗为每节点到 0 的最短距离之和。

seats 不为 1 时,考虑组成顺风车,此时总的油耗不该超过 seats = 1 的情况。

不难发现,只有「深度大的节点,在前往 0 过程中,搭乘深度小顺风车」可减少油耗(例如在上图节点 3 在经过节点 1 时搭乘顺风车,可与节点 1 合计使用一份油耗前往到 0),否则如果是深度小的节点先往深度大的节点走,再一同前往 0,会额外多经过某些边,产生不必要的油耗。

考虑组成顺风车时,总油耗该如何计算。

基于上述分析,无论 seats 是否为 11(是否组成顺风车),每个节点前往 0 的路径总是不变,即经过的边固定不变,必然是自底向上。

因此我们可统计每条边会被多少个节点经过,通过 DFS 统计「以每个节点为根时,子树的节点数量」即是经过该节点往上的边。

Java 代码:

class Solution {
    int N = 100010, M = 2 * N, idx = 0;
    int[] he = new int[N], e = new int[M], ne = new int[M];
    void add(int a, int b) {
        e[idx] = b;
        ne[idx] = he[a];
        he[a] = idx++;
    }
    long ans = 0;
    public long minimumFuelCost(int[][] roads, int seats) {
        int n = roads.length + 1;
        Arrays.fill(he, -1);
        for (int[] r : roads) {
            int a = r[0], b = r[1];
            add(a, b); add(b, a);
        }
        dfs(0, -1, seats);
        return ans;
    }
    int dfs(int u, int fa, int t) {
        int cnt = 1;
        for (int i = he[u]; i != -1; i = ne[i]) {
            int j = e[i];
            if (j == fa) continue;
            cnt += dfs(j, u, t);
        }
        if (u != 0) ans += Math.ceil(cnt * 1.0 / t);
        return cnt;
    }
}

C++ 代码:

class Solution {
public:
    int N = 100010, M = 2 * N, idx = 0;
    int he[100010], e[200020], ne[200020];
    long long ans = 0;
    void add(int a, int b) {
        e[idx] = b;
        ne[idx] = he[a];
        he[a] = idx++;
    }
    long long minimumFuelCost(vector<vector<int>>& roads, int seats) {
        int n = roads.size() + 1;
        memset(he, -1, sizeof(he));
        for (auto& r : roads) {
            int a = r[0], b = r[1];
            add(a, b); add(b, a);
        }
        dfs(0, -1, seats);
        return ans;
    }
    int dfs(int u, int fa, int t) {
        int cnt = 1;
        for (int i = he[u]; i != -1; i = ne[i]) {
            int j = e[i];
            if (j == fa) continue;
            cnt += dfs(j, u, t);
        }
        if (u != 0) ans += ceil(cnt * 1.0 / t);
        return cnt;
    }
};

Python 代码:

class Solution:
    def minimumFuelCost(self, roads: List[List[int]], seats: int) -> int:
        n, m, ans = len(roads) + 1, len(roads) * 2 + 1, 0
        he, e, ne, idx = [-1] * n, [0] * m, [0] * m, 0

        def add(a, b):
            nonlocal idx
            e[idx] = b
            ne[idx] = he[a]
            he[a] = idx
            idx += 1

        def dfs(u, fa, t):
            nonlocal ans
            cnt = 1
            i = he[u]
            while i != -1:
                j, i = e[i], ne[i]
                if j == fa: continue
                cnt += dfs(j, u, t)
            if u != 0:
                ans += math.ceil(cnt * 1.0 / t)
            return cnt

        for a, b in roads:
            add(a, b)
            add(b, a)
        dfs(0, -1, seats)
        return ans

TypeScript 代码:

function minimumFuelCost(roads: number[][], seats: number): number {
    const n = roads.length + 1, m = n * 2;
    const he = Array(n).fill(-1), e = Array(m).fill(0), ne = Array(m).fill(0);
    let ans = 0, idx = 0;
    const add = function(a: number, b: number) {
        e[idx] = b;
        ne[idx] = he[a];
        he[a] = idx++;
    }
    const dfs = function(u: number, fa: number, t: number): number {
        let cnt = 1;
        for (let i = he[u]; i != -1; i = ne[i]) {
            const j = e[i];
            if (j == fa) continue;
            cnt += dfs(j, u, t);
        }
        if (u != 0) ans += Math.ceil(cnt * 1.0 / t);
        return cnt;
    }
    for (const [a, b] of roads) {
        add(a, b); add(b, a);
    }
    dfs(0, -1, seats);
    return ans;
};
  • 时间复杂度:建图复杂度为 O(n)O(n);递归统计每个子树节点数量并计算油耗复杂度 O(n)O(n);整体复杂度为 O(n)O(n)
  • 空间复杂度:O(n)O(n)

最后

这是我们「刷穿 LeetCode」系列文章的第 No.2477 篇,系列开始于 2021/01/01,截止于起始日 LeetCode 上共有 1916 道题目,部分是有锁题,我们将先把所有不带锁的题目刷完。

在这个系列文章里面,除了讲解解题思路以外,还会尽可能给出最为简洁的代码。如果涉及通解还会相应的代码模板。

为了方便各位同学能够电脑上进行调试和提交代码,我建立了相关的仓库:github.com/SharingSour…

在仓库地址里,你可以看到系列文章的题解链接、系列文章的相应代码、LeetCode 原题链接和其他优选题解。

更多更全更热门的「笔试/面试」相关资料可访问排版精美的 合集新基地 🎉🎉