刷题46 从前序与中序遍历序列构造二叉树

42 阅读2分钟

给定两个整数数组 preorder 和 inorder ,其中 preorder 是二叉树的先序遍历, inorder 是同一棵树的中序遍历,请构造二叉树并返回其根节点。

 

示例 1:

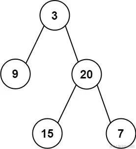
输入 : preorder = [3,9,20,15,7], inorder = [9,3,15,20,7]
输出: [3,9,20,null,null,15,7]

示例 2:

输入: preorder = [-1], inorder = [-1]
输出: [-1]

 

提示:

  • 1 <= preorder.length <= 3000
  • inorder.length == preorder.length
  • -3000 <= preorder[i], inorder[i] <= 3000
  • preorder 和 inorder 均 无重复 元素
  • inorder 均出现在 preorder
  • preorder 保证 为二叉树的前序遍历序列
  • inorder 保证 为二叉树的中序遍历序列

题解:

class Solution {
 private Map<Integer, Integer> indexMap;

public TreeNode myBuildTree(int[] preorder, int[] inorder, int preorder_left, int preorder_right, int inorder_left, int inorder_right) {
    if (preorder_left > preorder_right) {
        return null;
    }

    // 前序遍历中的第一个节点就是根节点
    int preorder_root = preorder_left;
    // 在中序遍历中定位根节点
    int inorder_root = indexMap.get(preorder[preorder_root]); //索引
    
    // 先把根节点建立出来
    TreeNode root = new TreeNode(preorder[preorder_root]);
    // 得到左子树中的节点数目
    int size_left_subtree = inorder_root - inorder_left;
    // 递归地构造左子树,并连接到根节点
    // 先序遍历中「从 左边界+1 开始的 size_left_subtree」个元素就对应了中序遍历中「从 左边界 开始到 根节点定位-1」的元素
    root.left = myBuildTree(preorder, inorder, preorder_left + 1, preorder_left + size_left_subtree, inorder_left, inorder_root - 1);
    // 递归地构造右子树,并连接到根节点
    // 先序遍历中「从 左边界+1+左子树节点数目 开始到 右边界」的元素就对应了中序遍历中「从 根节点定位+1 到 右边界」的元素
    root.right = myBuildTree(preorder, inorder, preorder_left + size_left_subtree + 1, preorder_right, inorder_root + 1, inorder_right);
    return root;
}

public TreeNode buildTree(int[] preorder, int[] inorder) {
    int n = preorder.length;
    // 构造哈希映射,帮助我们快速定位根节点
    indexMap = new HashMap<Integer, Integer>();
    for (int i = 0; i < n; i++) {
        indexMap.put(inorder[i], i);
    }
    return myBuildTree(preorder, inorder, 0, n - 1, 0, n - 1);
}

}