刷题45 二叉树展开为链表

41 阅读1分钟

给你二叉树的根结点 root ,请你将它展开为一个单链表:

  • 展开后的单链表应该同样使用 TreeNode ,其中 right 子指针指向链表中下一个结点,而左子指针始终为 null 。
  • 展开后的单链表应该与二叉树 先序遍历 顺序相同。

 

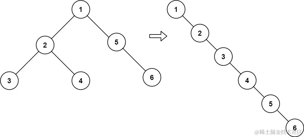
示例 1:

输入: root = [1,2,5,3,4,null,6]
输出: [1,null,2,null,3,null,4,null,5,null,6]

示例 2:

输入: root = []
输出: []

示例 3:

输入: root = [0]
输出: [0]

 

提示:

  • 树中结点数在范围 [0, 2000] 内
  • -100 <= Node.val <= 100

 

进阶: 你可以使用原地算法(O(1) 额外空间)展开这棵树吗?

题解: 基本方法 先存一个array里再连

反前序遍历:

class Solution {
TreeNode preNode;
public void flatten(TreeNode root) {
    if (root == null) return;
    flatten(root.right);
    flatten(root.left);
    root.left =null;
    root.right = preNode;
    preNode = root;
}

}