刷题 44 二叉树的右视图

52 阅读1分钟

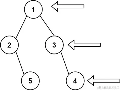
给定一个二叉树的 根节点 root,想象自己站在它的右侧,按照从顶部到底部的顺序,返回从右侧所能看到的节点值。

 

示例 1:

输入: [1,2,3,null,5,null,4]
输出: [1,3,4]

示例 2:

输入: [1,null,3]
输出: [1,3]

示例 3:

输入: []
输出: []

 

提示:

  • 二叉树的节点个数的范围是 [0,100]
  • -100 <= Node.val <= 100

题解:

class Solution {
public List<Integer> rightSideView(TreeNode root) {
    if(root==null) return new ArrayList<>();
    List<Integer>result=new ArrayList<>();
    Queue<TreeNode>q=new ArrayDeque<>();
    int num=1;
    q.add(root);
    while(!q.isEmpty()){
        TreeNode t=q.poll();
        num--;
        if(t.left!=null)
            q.add(t.left);
        if(t.right!=null)
            q.add(t.right);
        if(num==0){
            result.add(t.val);
            num=q.size();
        }
    }
    return result;
}
}