刷题43 二叉搜索树中第K小的元素

44 阅读1分钟

给定一个二叉搜索树的根节点 root ,和一个整数 k ,请你设计一个算法查找其中第 k ****个最小元素(从 1 开始计数)。

 

示例 1:

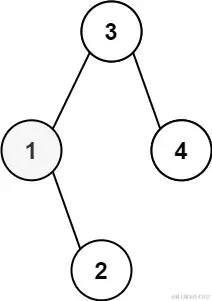
输入: root = [3,1,4,null,2], k = 1
输出: 1

示例 2:

输入: root = [5,3,6,2,4,null,null,1], k = 3
输出: 3

 

 

提示:

  • 树中的节点数为 n 。
  • 1 <= k <= n <= 104
  • 0 <= Node.val <= 104

 

进阶: 如果二叉搜索树经常被修改(插入/删除操作)并且你需要频繁地查找第 k 小的值,你将如何优化算法?

题解: 中序遍历

class Solution {
//中序遍历 迭代 
public int kthSmallest(TreeNode root, int k) {
    Stack<TreeNode>s =new Stack<>();
    TreeNode cur=root;
    while(!s.isEmpty()||cur!=null){
        while(cur!=null){
            s.push(cur);
            cur=cur.left;
        }
        cur=s.pop();
        k--;
        if(k==0)
           break;
        cur=cur.right;
    }
      return cur.val;


}
}