刷题38 对称二叉树

41 阅读1分钟

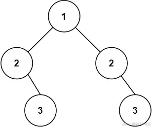
给你一个二叉树的根节点 root , 检查它是否轴对称。

 

示例 1:

输入: root = [1,2,2,3,4,4,3]
输出: true

示例 2:

输入: root = [1,2,2,null,3,null,3]
输出: false

 

提示:

  • 树中节点数目在范围 [1, 1000] 内
  • -100 <= Node.val <= 100

 

进阶: 你可以运用递归和迭代两种方法解决这个问题吗?

题解:

递归:

class Solution {
public boolean isSymmetric(TreeNode root) {
    if(root==null) return true;
    return judge(root.left,root.right);
}
public boolean judge(TreeNode L,TreeNode R){
    if(L==null&&R==null) return true;
    if(L==null||R==null||L.val!=R.val) return false;
    return judge(L.left,R.right)&&judge(L.right,R.left);
}
}

迭代:

 class Solution {
public boolean isSymmetric(TreeNode root) {
	if(root==null || (root.left==null && root.right==null)) {
		return true;
	}
	//用队列保存节点
	LinkedList<TreeNode> queue = new LinkedList<TreeNode>();
	//将根节点的左右孩子放到队列中
	queue.add(root.left);
	queue.add(root.right);
	while(queue.size()>0) {
		//从队列中取出两个节点,再比较这两个节点
		TreeNode left = queue.removeFirst();
		TreeNode right = queue.removeFirst();
		//如果两个节点都为空就继续循环,两者有一个为空就返回false
		if(left==null && right==null) {
			continue;
		}
		if(left==null || right==null) {
			return false;
		}
		if(left.val!=right.val) {
			return false;
		}
		//将左节点的左孩子, 右节点的右孩子放入队列
		queue.add(left.left);
		queue.add(right.right);
		//将左节点的右孩子,右节点的左孩子放入队列
		queue.add(left.right);
		queue.add(right.left);
	}
	
	return true;
}
}