代码随想录day20| 二叉树part06(654、617、700、98)

46 阅读4分钟

654. 最大二叉树

给定一个不重复的整数数组 nums 。 最大二叉树 可以用下面的算法从 nums 递归地构建:

  1. 创建一个根节点,其值为 nums 中的最大值。
  2. 递归地在最大值 左边 的 子数组前缀上 构建左子树。
  3. 递归地在最大值 右边 的 子数组后缀上 构建右子树。

返回 nums 构建的 最大二叉树

示例 1:

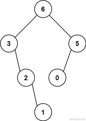
输入: nums = [3,2,1,6,0,5]
输出: [6,3,5,null,2,0,null,null,1]
解释: 递归调用如下所示:
- [3,2,1,6,0,5] 中的最大值是 6 ,左边部分是 [3,2,1] ,右边部分是 [0,5] 。
    - [3,2,1] 中的最大值是 3 ,左边部分是 [] ,右边部分是 [2,1] 。
        - 空数组,无子节点。
        - [2,1] 中的最大值是 2 ,左边部分是 [] ,右边部分是 [1] 。
            - 空数组,无子节点。
            - 只有一个元素,所以子节点是一个值为 1 的节点。
    - [0,5] 中的最大值是 5 ,左边部分是 [0] ,右边部分是 [] 。
        - 只有一个元素,所以子节点是一个值为 0 的节点。
        - 空数组,无子节点。

示例 2:

输入: nums = [3,2,1]
输出: [3,null,2,null,1]

思路: 这是一道构建二叉树的题,先序遍历:先找出数组的最大值,然后递归的构造root.leftroot.right

/**
 * @param {number[]} nums
 * @return {TreeNode}
 */
var constructMaximumBinaryTree = function(nums) {
    if(nums.length === 0) return null
    const rootValue = Math.max(...nums)
    const rootIndex = nums.findIndex(i=>i === rootValue)
    const root = new TreeNode(rootValue)
    root.left = constructMaximumBinaryTree(nums.slice(0, rootIndex))
    root.right = constructMaximumBinaryTree(nums.slice(rootIndex+1))
    return root
};

617. 合并二叉树

给你两棵二叉树: root1 和 root2 。

想象一下,当你将其中一棵覆盖到另一棵之上时,两棵树上的一些节点将会重叠(而另一些不会)。你需要将这两棵树合并成一棵新二叉树。合并的规则是:如果两个节点重叠,那么将这两个节点的值相加作为合并后节点的新值;否则,不为 null 的节点将直接作为新二叉树的节点。

返回合并后的二叉树。

注意:  合并过程必须从两个树的根节点开始。

 

示例 1:

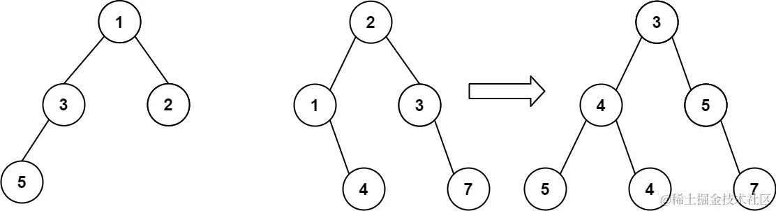
输入: root1 = [1,3,2,5], root2 = [2,1,3,null,4,null,7]
输出: [3,4,5,5,4,null,7]

示例 2:

输入: root1 = [1], root2 = [1,2]
输出: [2,2]

思路:还是一道构造二叉树的题,不过是变成了遍历两棵树

/**
 * @param {TreeNode} root1
 * @param {TreeNode} root2
 * @return {TreeNode}
 */
var mergeTrees = function(root1, root2) {
    if(root1&& root2 === null) return root1
    // 这里包含了两棵树都为null return null 的情况
    if(root1 === null ) return root2
    const val = root1.val + root2.val
    const root = new TreeNode(val)
    root.left = mergeTrees(root1.left, root2.left)
    root.right = mergeTrees(root1.right, root2.right)
    return root
};

700. 二叉搜索树中的搜索 

给定二叉搜索树(BST)的根节点 root 和一个整数值 val

你需要在 BST 中找到节点值等于 val 的节点。 返回以该节点为根的子树。 如果节点不存在,则返回 null 。

 

示例 1:

输入: root = [4,2,7,1,3], val = 2
输出: [2,1,3]

示例 2:

输入: root = [4,2,7,1,3], val = 5
输出: []

二叉搜索树: 二叉搜索树是一个有序树:

  • 若它的左子树不空,则左子树上所有结点的值均小于它的根结点的值;
  • 若它的右子树不空,则右子树上所有结点的值均大于它的根结点的值;
  • 它的左、右子树也分别为二叉搜索树

思路:基于二叉搜索树的特点(左<中<右),遍历树寻找一个节点

/**
 * @param {TreeNode} root
 * @param {number} val
 * @return {TreeNode}
 */
var searchBST = function (root, val) {
    if (root === null) return null
     if (root.val === val) return root
     return val > root.val ? searchBST(root.right, val): searchBST(root.left, val)
};

98. 验证二叉搜索树

给你一个二叉树的根节点 root ,判断其是否是一个有效的二叉搜索树。

有效 二叉搜索树定义如下:

  • 节点的左子树只包含 小于 当前节点的数。
  • 节点的右子树只包含 大于 当前节点的数。
  • 所有左子树和右子树自身必须也是二叉搜索树。

 

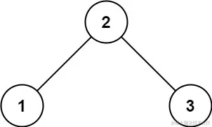
示例 1:

输入: root = [2,1,3]
输出: true

示例 2:

输入: root = [5,1,4,null,null,3,6]
输出: false
解释: 根节点的值是 5 ,但是右子节点的值是 4

思路: 左<中 <右,所以使用中序遍历,其中有一个要注意的点,每个节点,不仅要大于左节点小于右节点,还要大于之前出现过的最大值(右子树的任意节点一定大于左子树)才算符合条件,所以要在递归函数外存储一个变量max

/**
 * @param {TreeNode} root
 * @return {boolean}
 */
var isValidBST = function (root) {
    let flag = true
    let max = null
    const isValid = (node) => {
        if (!flag || !node) return
        node.left && isValid(node.left)

        if (node.left && node.val <= node.left.val) {
            flag = false
            return
        }
        if (max && node.val <= max) {
            flag = false
            return
        }
        if (node.right && node.val >= node.right.val) {
            flag = false
            return
        } else {
            max = max ? Math.max(node.val, max) : node.val
            node.right && isValid(node.right)
        }
    }
    isValid(root)
    return flag

};