数据结构与算法 -- LeetCode中关于链表相关的算法题1

919 阅读11分钟

1 链表深拷贝

给你一个长度为 n 的链表,每个节点包含一个额外增加的随机指针 random ,该指针可以指向链表中的任何节点或空节点。

构造这个链表的 深拷贝。 深拷贝应该正好由 n 个 全新 节点组成,其中每个新节点的值都设为其对应的原节点的值。新节点的 next 指针和 random 指针也都应指向复制链表中的新节点,并使原链表和复制链表中的这些指针能够表示相同的链表状态。复制链表中的指针都不应指向原链表中的节点

例如,如果原链表中有 X 和 Y 两个节点,其中 X.random --> Y 。那么在复制链表中对应的两个节点 x 和 y ,同样有 x.random --> y 。

返回复制链表的头节点。

解题思路

首先需要对深拷贝有一个理解,所谓“深拷贝”与“浅拷贝”的区别在于,浅拷贝只是值传递,而深拷贝涉及到了引用传递,如果只是普通链表,只需要遍历一次,拿到旧节点的值之后,创建新的Node节点。 而本题中不同之处在于,每个节点多了一个随机指针,能够指向链表中的任意一个节点。

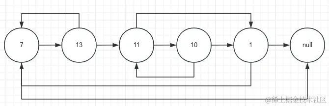
输入: head = [[7,null],[13,0],[11,4],[10,2],[1,0]]
输出: [[7,null],[13,0],[11,4],[10,2],[1,0]]

image.png

这时候,如果仅仅是遍历链表是无法完成深拷贝的,因为在遍历的过程中,某个节点的random节点可能还没有创建,因此无法通过简单的遍历完成深拷贝。

方案1:哈希表

首先,先遍历一次链表,此时仅仅完成旧节点的深拷贝即可,每个节点的next节点与random节点先不需要关心,通过哈希表完成旧节点与新节点的映射关系。

// 旧的code对应新的code
Map<Node,Node> map = new HashMap();

Node temp = head;

//先遍历一次链表,将旧的节点对应的新的节点放在map里
while(temp != null){
    map.put(temp,new Node(temp.val));
    temp = temp.next;
}

此时我们中间可能任何使用到的节点都在map中,所以需要再遍历一次链表,完成新节点的next和random节点赋值工作即可。

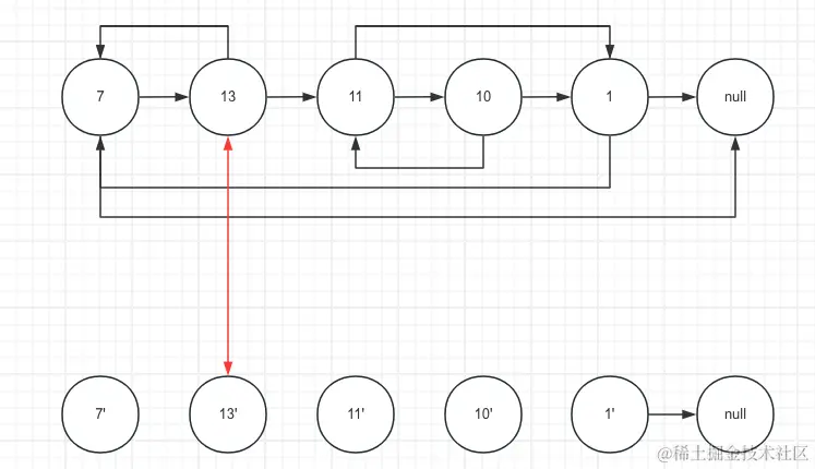
这里我们需要记住一点,看下图:

image.png

7'是旧节点7的深拷贝节点,它的next节点其实就是旧节点7的下一个节点13的拷贝节点13',那么怎么获取到13'节点,当前遍历的节点为7,其实从map中通过7的next节点就能拿到13对应的拷贝节点。

那么random节点如何获取呢,其实也一样,获取当前节点的random节点,从map中取到对应的拷贝节点即可。


public Node copyRandomList(Node head) {

    if(head == null){
        return null;
    }

    // 旧的code对应新的code
    Map<Node,Node> map = new HashMap();

    Node temp = head;

    //先遍历一次链表,将旧的节点对应的新的节点放在map里
    while(temp != null){
        map.put(temp,new Node(temp.val));
        temp = temp.next;
    }
    //注意此时map中,新节点的next和random都没有
    temp = head;

    //再从头遍历一次
    while(temp != null){
        //拿到新节点
        Node newNode = map.get(temp);
        //设置新节点的next = 旧节点的next
        newNode.next = map.get(temp.next);
        //设置新节点的random = 旧节点的random
        newNode.random = map.get(temp.random);
        temp = temp.next;
    }
    //拿到头结点的全部克隆节点
    return map.get(head);
}

因为会遍历两次链表,时间复杂度为O(n),n为链表长度;额外创建了Map,空间复杂度O(n).

链表合并与拆分

如果我们想要把map去掉,只从链表本身出发,从而使用一种O(1)的空间复杂度,这其实是一种优化手段,map的作用是什么,帮助我们快速找到想要的旧节点的拷贝节点。 其实如果我们制定一套规则,按照我们的规则去查找对应的节点,是可以抛弃哈希表的。

假设我们现在使用这样的规则:

image.png

当遍历到某个节点时,创建其克隆节点,放在当前节点与下一个节点中间,最终在原先节点的基础上长度变为一倍。

Node temp = head;
//按照规则生成新的链表  a-a'-b-b'-c-c''
while (temp != null) {
    //创建clone节点
    Node node = new Node(temp.val);
    //拿到当前节点的下一个节点
    Node nextNode = temp.next;
    temp.next = node;
    node.next = nextNode;
    //此时因为有个中间节点,因此需要跳2步。
    temp = temp.next.next;
}

接着我们遍历这个新链表,从head开始,我们先找到所有克隆节点的random节点,其实也很简单,我们在遍历新链表的时候,一组一组地遍历,对于clone节点的ramdom节点,其实就是旧节点的random节点的下一个节点,因为是按照我们的规则来的,所以一定是这样的,这样其实就是起到了哈希表的作用。

//此时先不需要关心clone节点的next节点,先把random连起来。
temp = head;

while (temp != null) {
    //旧节点
    Node oldNode = temp;
    //克隆节点
    Node newNode = temp.next;
    //克隆节点的random节点,就是旧节点的random节点的下一个节点
    newNode.random = oldNode.random == null ? null : oldNode.random.next;
    //一组一组遍历
    temp = temp.next.next;
}

这样其实就是把每个clone节点的random节点全部配置完成,然后再把全部的clone节点从新链表中拿出来即可。

public static Node copyRandomList(Node head) {

    if (head == null) {
        return null;
    }

    Node temp = head;
    //按照规则生成新的链表  a-a'-b-b'-c-c''
    while (temp != null) {
        //创建clone节点
        Node node = new Node(temp.val);
        //拿到当前节点的下一个节点
        Node nextNode = temp.next;
        temp.next = node;
        node.next = nextNode;
        //此时因为有个中间节点,因此需要跳2步。
        temp = temp.next.next;
    }

    //此时先不需要关心clone节点的next节点,先把random连起来。
    temp = head;

    while (temp != null) {
        //旧节点
        Node oldNode = temp;
        //克隆节点
        Node newNode = temp.next;
        //克隆节点的random节点,就是旧节点的random节点的下一个节点
        newNode.random = oldNode.random == null ? null : oldNode.random.next;
        //一组一组遍历
        temp = temp.next.next;
    }

    //现在想怎么拆分
    temp = head;
    //
    Node res = null;
    Node tail = null;

    while (temp != null) {
        if (res == null) {
            tail = res = temp.next;
        } else {
            res.next = temp.next;
            res = res.next;
        }
        temp = temp.next.next;
    }
    return tail;
}

其实这道题几乎把链表中能出题的点都涵盖了,算是比较难的一道题了。

链表反转

链表翻转是经典的面试题,常见的就是单链表的反转,常见的思路是构建一个空链表,在遍历链表的同时,改变节点的指向。

image.png

//改变head的指向
ListNode next = head.next;
head.next = pre;

改变方向之后,往下遍历下一个节点。

image.png

pre = head;
head = next;

如此往复,最终pre移动到最后一个节点6之后,遍历结束,返回pre即可。

public ListNode reverseList(ListNode head) {
    if(head == null){
        return null;
    }
    //这个链表就是新节点的头结点
    ListNode pre = null;
    while(head != null){
        //获取当前节点的下一个节点
        ListNode next = head.next;
        //开始翻转
        head.next = pre;
        //pre要往上走到当前节点,下一个节点的next指针要指向pre
        pre = head;
        head = next;
    }
    return pre;
}

那么中等难度的题目,则是会在某个区间内反转链表,如下:

给你单链表的头指针 head 和两个整数 left 和 right ,其中 left <= right 。请你反转从位置 left 到位置 right 的链表节点,返回 反转后的链表 。

输入: head = [1,2,3,4,5], left = 2, right = 4
输出: [1,4,3,2,5]

解题思路

因为是在区间内的反转,而且链表无法像数组一样,通过双指针来完成反转,但是通过下面的图可以看到整体的规则:

image.png

假设要反转第2到第4个元素,那么最终拿到的链表是:

image.png

其实思路就比较清晰了,第left-1个元素指向第right个元素,第left个元素指向第right+1个元素,中间的元素做链表翻转。

所以在此之前,需要准备好几个变量:开始反转时的变量leftNode,其之前的变量preLeftNode,结束反转时的变量rightNode以及其下一个节点r1.

public ListNode reverseBetween(ListNode head, int left, int right) {
    //这道题是翻转一定区间的链表
    if(head == null){
        return null;
    }
    if(left > right){
        return null;
    }
    if(left == right){
        return head;
    }
    //首先找到起始节点和终点,遍历一次链表
    ListNode dummy = new ListNode(-1);
    dummy.next = head;

    //找到left和right坐标对应的节点
    //记住一点 left是开始反转的起始节点,还需要找到left的前一个节点
    //因为开始反转的位置,很可能是第一个,因此使用dummy创建了一个虚拟节点
    ListNode preLeftNode = dummy;
    for(int i = 0;i<left-1;i++){
        preLeftNode = preLeftNode.next;
    }
    ListNode leftNode = preLeftNode.next;
    ListNode tail = preLeftNode.next;
    //找到右边节点
    ListNode rightNode = dummy;
    for(int i = 0;i<right;i++){
        rightNode = rightNode.next;
    }
    //找到right节点的下一个节点
    ListNode r1 = rightNode.next;
    rightNode.next = null;
    //开始反转
    ListNode pre = null;
    while(leftNode != null){
        ListNode next = leftNode.next;
        leftNode.next = pre;
        pre = leftNode;
        leftNode = next;
    }
    //拼接链表
    preLeftNode.next = pre;
    tail.next = r1;
    return dummy.next;
}

链表删除节点

对于链表节点的删除,常规的方式通过遍历链表,拿到下个节点判断是否可以删除,如果删除,就将当前节点的下个节点指向下个节点的下个节点。

image.png

public ListNode deleteNode(ListNode head, int val) {

    ListNode dummy = new ListNode(-1);
    dummy.next = head;

    ListNode cur = dummy;

    while(cur.next != null){
        //拿到下个节点
        ListNode next = cur.next;
        if(next.val == val){
            cur.next = next.next;
        }else{
            cur = cur.next;
        }
    }
    return dummy.next;
}

这个也只能说是最简单的删除节点的题目了,接下来来点难度的。

问题1 删除链表中倒数第n个节点

给你一个链表,删除链表的倒数第 n 个结点,并且返回链表的头结点。

其实这道题目,它让我们删除倒数第n个节点,我们需要按照正向思维来看,其实就是删除正数第length - n + 1个节点。

首先我们先遍历链表拿到链表的长度。

int length = 0;
ListNode dummy = new ListNode(-1,head);
ListNode left = dummy.next;
while(left != null){
    left = left.next;
    length++;
}

既然要删除目标节点,首先就需要3个成员变量,目标节点的前一个节点pre,需要删除的节点cur,以及目标节点的下一个节点next,所以需要再遍历一次链表。因为删除的元素很有可能是第一个,所以我们在构建dummy的时候,新加了一个虚拟节点 ,因此在遍历的时候,我们


//需要删除第 length - n + 1个节点
int pos = 1;
//如果删除的是第一个元素,就需要用这个虚拟节点
ListNode pre = dummy;
while(pos < length - n + 1){
    pre = pre.next;
    pos++;
}
ListNode cur = pre.next;
ListNode next = cur == null ? null : cur.next;
pre.next = next;

假如链表长度为5,需要删除倒数第2个元素,其实就是删除正数第(5-2+1)=4个元素,所以在遍历的时候,首先取到目标节点的前一个节点pre,后续就正常拿到其他的两个变量,做对应的指针指向即可。

public ListNode removeNthFromEnd(ListNode head, int n) {
    //题目给你反的操作,我们按照正向思维来看
    //删除倒数第n个节点,其实就是删除正数第 length - n +1 个节点
    int length = 0;
    ListNode dummy = new ListNode(-1,head);
    ListNode left = dummy.next;
    while(left != null){
        left = left.next;
        length++;
    }

    //需要删除第 length - n + 1个节点
    int pos = 1;
    //如果删除的是第一个元素,就需要用这个虚拟节点
    ListNode pre = dummy;
    while(pos < length - n + 1){
        pre = pre.next;
        pos++;
    }
    ListNode cur = pre.next;
    ListNode next = cur == null ? null : cur.next;
    pre.next = next;

    return dummy.next;
}

问题2 删除链表中的重复元素

给定一个已排序的链表的头 head,删除原始链表中所有重复数字的节点,只留下不同的数字。返回已排序的链表。

输入: head = [1,2,3,3,4,4,5]
输出: [1,2,5]

这个问题也是中等难度的问题,我们先看具体的要求是主要是重复的元素都要全部删除,那么其实重复的元素很有可能在第一个,因此也需要构建虚拟节点。

因此在遍历链表的时候,至少需要两个变量,当前节点(一定不是重复元素)cur下个节点和下下个节点,如果这两者重复,那么就需要一直往下找,直到找到不重复的元素,当前节点的下一个节点指向它。仅仅是指向它,并不代表当前节点要移动到这个节点,还需要在while循环中,判断这个节点与其下一个节点是否重复。

如果两者不重复,那么就遍历下个节点,为啥不能直接跳到下下个节点?是因为下下个节点很有可能是和它下个节点是重复节点。

public ListNode deleteDuplicates(ListNode head) {
    //因为是排序的,所以不要考虑之前是否有重复元素
    if(head == null || head.next == null){
        return head;
    }

    //如果两个元素重复,还是有可能出现在第一个元素的位置,因此还需要虚拟节点
    ListNode dummy = new ListNode(-1,head);
    //当前节点
    ListNode cur = dummy;

    while(cur.next != null && cur.next.next != null){
        //当前节点的下一个节点
        ListNode node1 = cur.next;
        //当前节点的下下个节点
        ListNode node2 = cur.next.next;
        if(node1.val != node2.val){
            //继续往下走了
            cur = cur.next;
        }else{
            //如果当前节点与下个节点的值一样,那么循环,一直找到不一样的节点
            while(node2 != null && node2.val == node1.val){
                node2 = node2.next;
            }
            //出来了,此时next的值,与是不同的
            //将cur的指针直接指向不同值的位置即可。
            cur.next = node2;
        }

    }

    return dummy.next;
}

这里有一点需要记住,但凡涉及到了节点取值,一定要在此之前判空!