算法通关村第一关——链表

108 阅读6分钟

算法通关村第一关——链表(Java)

链表是一种经典的数据结构,在很多软件里大量使用,例如操作系统、JVM等。 在面试中链表题目数量少,类型也相对固定,考察频率高,因此只要将常见题目都学完即可。

1 单链表的概念

1.1 链表的概念

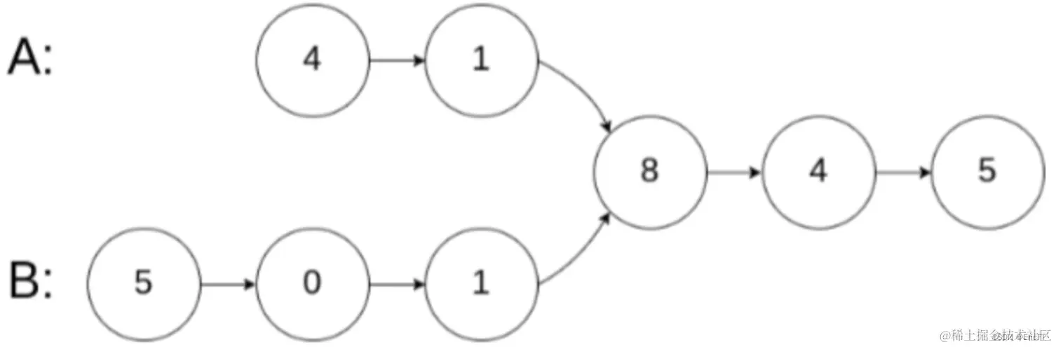
单向链表就像铁链一样,元素之间相互连接,包含多个结点,每个结点有一个指向后继元素的next指针。表中最后一个元素的next指向null。 在这里插入图片描述 思考,如下二图是否都满足单链表的要求?

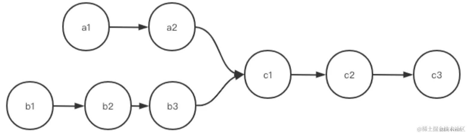
图一 在这里插入图片描述 图二 在这里插入图片描述 解析: 图一满足要求,因为链表要求环环相扣,核心是一个结点只能有一个后继,但不代表一个结点只能有一个被指向。 显然图一满足,图二不满足,c1有两个后继。 做题时还需注意比较的是值还是结点,有时可能两个结点的值相等,但不是同一个结点,如下图: 在这里插入图片描述

2 链表的相关概念

  • 结点和头结点 在链表中,每个点都是由值和指向下一个结点的地址组成的独立单元,称为一个结点,有时也称节点。 对于单链表,如果知道了第一个元素,就可以通过遍历访问整个链表,因此第一个结点最重要,一般称为头结点。

  • 虚拟结点 dummyNode,其next指针指向head,也就是dummyNode.next=head。 因此,如果使用了虚拟结点,若要获得head结点,或者从方法里返回的时候,则应使用dummyNode.next。 另外注意,dummyNode的val不会被使用,初始化为0或者-1等都是可以的。简单来说,虚拟结点就是为了方便我们处理首部结点,否则我们需要在代码里单独处理。在链表反转里,我们可以看到该方式大大降低解题难度。

3 创建链表

根据面向对象的理论,在Java里规范的链表应该按如下方式定义:

public class ListNode {
    private int data;
    private ListNode next;
    public ListNode(int data) {
        this.data = data;
    }
    public int getData() {
        return data;
    }
    public ListNode getNext() {
        return next;
    }
    public void setNext(ListNode next) {
        this.next = next;
    }
    public void setData(int data) {
        this.data = data;
    }
}

在LeetCode中算法题经常用这种方式创建:

public class Node {
    public int val;
    public Node next;

    public Node(int x) {
        val = x;
        //这个一般作用不大,写了会更加规范
        next = null;
    }
}
Node node = new Node(1);

val就是当前结点的值,next指向下一个结点。两个变量都是public的,所以创建对象后能直接使用listnode.val和listnode.next来操作,虽然违背了面向对象的设计要求,但是代码更为精简,因此在算法题中应用广泛。

4 链表的增删改查

4.1 遍历链表

对于单链表,不管进行什么操作,一定是从头开始逐个向后访问,所以操作之后是否还能找到表头非常重要。(我的理解:如下,遍历时,表头node对象传入形参head,head的引用指向了表头位置,然后node的引用指向的是当前遍历到的位置,在循环遍历中不断变化指向下一个结点)

public static int getListLength(Node head) {
	int length = 0;
    Node node = head;
    while(node != null) {
        length++;
        node = node.next;
    }
    return length;
}

4.2 链表插入

  • 1. 表头插入 创建新结点newNode,执行newNode.next=head即可,再让head重新指向新的表头head=newNode。 如图,头结点初始是1,最终是new。 在这里插入图片描述

  • 2. 结尾插入 将尾节点指向新结点即可。 在这里插入图片描述

  • 3. 中间插入 首先要遍历找到要插入的位置。然后,如图,如果要在2和3之间插入,必须先让new.next=node(2).next,再将node(2).next=new。即使用current.next的值,而不是next,如下:

     new.next = current.next;
     current.next = new;
    

顺序不能颠倒!!! 因为每个结点只有一个next,如果先让current.next = new,那么2和3之间的连线就会自动断开,就无法找到原来的后继结点了 在这里插入图片描述 代码如下:

/**
 * 链表插入
 * @param head       链表头结点
 * @param nodeInsert 待插入结点
 * @param position   待插入位置,从1开始
 * @return 插入后得到的链表头结点
 */
public static Node insertNode(Node head, Node nodeInsert, int position) {
    //先判断头结点是否为空
    if (head == null) {
        //可以认为待插入的结点就是链表的头结点,也可以抛出不能插入的异常,推荐前者
        return nodeInsert;
    }
    //判断插入的位置
    int size = getLength(head);//得到目前已经存放的元素个数
    if (position > size + 1 || position < 1) { //注意size+1位置其实就是最后一个结点的下一个位置就是新的尾部。
        System.out.println("位置参数越界");
        return head;
    }
    //表头插入
    if (position == 1) {
        nodeInsert.next = head;
        //下面也可以简化直接 return nodeInsert;
        head = nodeInsert;
        return head;
    }
    //其他
    Node pNode = head;
    int count = 1; //记录遍历到的元素的位置,和pNode相匹配
    while (count < position -1) { //在目前结点位置的前一个即position-1的地方停下来
        pNode = pNode.next;
        count++;
    }
    nodeInsert.next = pNode.next;
    pNode.next = nodeInsert;

    return head;
}

写代码的时候其实中间和结尾的插入都写在同一类步骤里了,因为尾部插入,目标位置就是size+1的位置,前一位就是原来的尾部,所以相当于把待插入的node的下一位next指向null,然后将原来的尾部的下一位指向待插入的node,和中间插入是一个道理。

4.3 链表删除

  • 1. 删除表头结点 head = head.next 在这里插入图片描述

  • 2. 删除最后结点 找到最后结点的前一个位置,current.next = null,此时结点4变得不可达,最终会被JVM回收 在这里插入图片描述

  • 3. 删除中间结点 找到要删除结点的前一个位置,将current.next = current.next.next 在这里插入图片描述 代码如下:

/**
 * 链表删除结点
 *
 * @param head     链表头结点
 * @param position 删除节点位置,从1开始
 * @return 删除后的链表头结点
 */
public static Node deleteNode(Node head, int position) {
    if (head == null) {
        return null;
    }
    int size = getLength(head);
    if (position > size || position < 1) {//因为是要删除的结点位置,必须是已有的位置里找
        System.out.println("输入的位置参数有误");
        return head;
    }
    //删除表头
    if (position == 1) {
        head = head.next;
        return head;
    }
    //中间与尾部
    Node curNode = head;
    int count = 1;
    while (count < position - 1) {
        curNode = curNode.next;
        count++;
    }
    curNode.next = curNode.next.next;

    return head;
}

课后总结

今天学习了数据结构与算法最基本的知识,如时间复杂度空间复杂度等,记录在了前一篇笔记中。然后开始学算法村第一关——链表,知晓了java中链表的概念,以及链表创建、遍历、插入、删除等。

今天是写算法的第一篇笔记,我把算法村课件里的部分内容也码在笔记里了,感觉有点冗长,单纯的重复码下课件里的一些内容也有些浪费时间,之后准备简化笔记,只把最关键的几个知识点和代码以及自己的理解写在笔记里,比较细节的内容直接去算法村的课件里看。

完成了青铜挑战,再接再厉!