算法基础三

26 阅读5分钟

电话号码的字母组合

给定一个仅包含数字 2-9 的字符串,返回所有它能表示的字母组合。答案可以按 任意顺序 返回。给出数字到字母的映射如下(与电话按键相同)。注意 1 不对应任何字母。

image.png

示例 1:
输入:digits = "23"
输出:["ad","ae","af","bd","be","bf","cd","ce","cf"]

示例 2:
输入:digits = ""
输出:[]

示例 3:
输入:digits = "2"
输出:["a","b","c"]


    //一个映射表,第二个位置是"abc“,第三个位置是"def"
	//这里也可以用map,用数组可以更节省点内存
	String[] letter_map = {" ","*","abc","def","ghi","jkl","mno","pqrs","tuv","wxyz"};

    public List<String> letterCombinations(String digits) {
	//注意边界条件
		if(digits==null || digits.length()==0) {
			return new ArrayList<>();
		}
		iterStr(digits, new StringBuilder(), 0);
		return res;
    }

    	//最终输出结果的list
	List<String> res = new ArrayList<>();
	

    //递归函数
	void iterStr(String str, StringBuilder letter, int index) {
		//递归的终止条件,注意这里的终止条件看上去跟动态演示图有些不同,主要是做了点优化
		//动态图中是每次截取字符串的一部分,"234",变成"23",再变成"3",最后变成"",这样性能不佳
		//而用index记录每次遍历到字符串的位置,这样性能更好
		if(index == str.length()) {
			res.add(letter.toString());
			return;
		}

		//获取index位置的字符,假设输入的字符是"234"
		//第一次递归时index为0所以c=2,第二次index为1所以c=3,第三次c=4
		//subString每次都会生成新的字符串,而index则是取当前的一个字符,所以效率更高一点
		char c = str.charAt(index);
		//map_string的下表是从0开始一直到9, c-'0'就可以取到相对的数组下标位置
		//比如c=2时候,2-'0',获取下标为2,letter_map[2]就是"abc"
		int pos = c - '0';
		String map_string = letter_map[pos];
		//遍历字符串,比如第一次得到的是2,页就是遍历"abc"
		for(int i=0;i<map_string.length();i++) {
			//调用下一层递归,用文字很难描述,请配合动态图理解
            letter.append(map_string.charAt(i));
            //如果是String类型做拼接效率会比较低
			//iterStr(str, letter+map_string.charAt(i), index+1);
            iterStr(str, letter, index+1);
            letter.deleteCharAt(letter.length()-1);
		}
	}

四数之和

给你一个由 n 个整数组成的数组 nums ,和一个目标值 target 。请你找出并返回满足下述全部条件且不重复的四元组 [nums[a], nums[b], nums[c], nums[d]] (若两个四元组元素一一对应,则认为两个四元组重复): 0 <= a, b, c, d < n a、b、c 和 d 互不相同 nums[a] + nums[b] + nums[c] + nums[d] == target

示例 1: 输入:nums = [1,0,-1,0,-2,2], target = 0 输出:[[-2,-1,1,2],[-2,0,0,2],[-1,0,0,1]]

示例 2: 输入:nums = [2,2,2,2,2], target = 8 输出:[[2,2,2,2]]

解题思路:用map提前计算好3数之和,可以将时间复杂度降到O(n^3),最主要一点是最后输出结果不能重复,思路跟三数之和完全一致。


   public List<List<Integer>> fourSum(int[] nums, int target) {
        List<List<Integer>> quadruplets = new ArrayList<List<Integer>>();
        if (nums == null || nums.length < 4) {
            // 数组为空或者长度不够4直接返回空
            return quadruplets;
        }

        // 先排序,解决可能输出重复结果问题
        // [-2, -1, 0, 0, 1, 2]
        Arrays.sort(nums);

        int len = nums.length;
        for(int i = 0; i < len - 3; i++) {
            if (i > 0 && nums[i] == nums[i - 1]) {
                continue;
            }

            if(nums[i] + nums[i + 1] + nums[i + 2] + nums[i + 3] > target) {
                break;
            }

            if(nums[i] + nums[len - 3] + nums[len - 2] + nums[len - 1] < target) {
                continue;
            }

            for (int j = i + 1; j < len - 2; j++) {
                if (j > i + 1 && nums[j] == nums[j - 1]) {
                    continue;
                }

                if (nums[i] + nums[j] + nums[j + 1] + nums[j + 2] > target) {
                    break;
                }

                if (nums[i] + nums[j] + nums[len - 2] + nums[len - 1] < target) {
                    continue;
                }

                int left = j + 1;
                int right = len - 1;
                while(left < right) {
                    int sum = nums[i] + nums[j] + nums[left] + nums[right];
                    if (sum == target) {
                        quadruplets.add(Arrays.asList(nums[i], nums[j], nums[left], nums[right]));
                        while (left < right && nums[left] == nums[left + 1]) {
                            left++;
                        }
                        left++;
                        while (left < right && nums[right] == nums[right - 1]) {
                            right--;
                        }
                        right--;
                    } else if (sum < target) {
                        left++;
                    } else {
                        right--;
                    }
                }
            }
        }
        return quadruplets;
    }

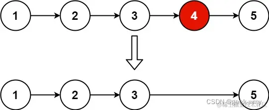
删除链表的倒数第N个节点

给你一个链表,删除链表的倒数第 n 个结点,并且返回链表的头结点。

示例 1:

在这里插入图片描述 输入:head = [1,2,3,4,5], n = 2 输出:[1,2,3,5] 示例 2: 输入:head = [1], n = 1 输出:[] 示例 3: 输入:head = [1,2], n = 1 输出:[1]

解题思路:先循环一次拿到链表总长度,然后循环到要删除节点的前一个节点开始操作删除。 这里有两种解法,第一就是根据链表长度,遍历拿到要删除元素的前一个元素;第二个就是通过栈的方式,先把所有元素压入栈中,然后根据要删除的元素下标遍历栈取出前一个元素。

    public ListNode removeNthFromEnd(ListNode head, int n) {
        ListNode dummy = new ListNode(0, head);
        // 计算出链表长度
        int length = 0;
        while (head != null) {
            ++length;
            head = head.next;
        }
        // 拿到要删除元素的前一个元素
        ListNode cur = dummy;
        for (int i = 1; i < length - n + 1; ++i) {
            cur = cur.next;
        }
        // 进行删除操作,改变指针引用
        cur.next = cur.next.next;
        ListNode ans = dummy.next;
        return ans;
    }

有效括号

给定一个只包括 '(',')','{','}','[',']' 的字符串 s ,判断字符串是否有效。 有效字符串需满足:

  1. 左括号必须用相同类型的右括号闭合。
  2. 左括号必须以正确的顺序闭合。
  3. 每个右括号都有一个对应的相同类型的左括号。

示例 1: 输入:s = "()" 输出:true 示例 2: 输入:s = "()[]{}" 输出:true 示例 3: 输入:s = "(]" 输出:false

解题思路:遇到左括号就push到栈,遇到右括号并且栈顶为对应的左括号就把元素出栈,最后看栈中是否还有元素。

  private static final Map<Character,Character> map = new HashMap<Character,Character>(){{
        put('{','}'); put('[',']'); put('(',')'); put('?','?');
    }};

    public boolean isValid(String s) {
        // 首先判断是否包含左括号
        if(s.length() > 0 && !map.containsKey(s.charAt(0))) {
            return false;
        }

        LinkedList<Character> stack = new LinkedList<Character>() {{ 
            add('?'); 
        }};
        
        // 遍历每个元素
        for(Character c : s.toCharArray()) {
            if(map.containsKey(c)) {
                // 匹配到左括号入栈
                stack.addLast(c);
            } else if (map.get(stack.removeLast()) != c) {
                // 再判断是否是对称
                return false;
            }
        }
        return stack.size() == 1;
    }

合并两个有序链表

将两个升序链表合并为一个新的 升序 链表并返回。新链表是通过拼接给定的两个链表的所有节点组成的。

示例 1: 在这里插入图片描述

输入:l1 = [1,2,4], l2 = [1,3,4] 输出:[1,1,2,3,4,4] 示例 2: 输入:l1 = [], l2 = [] 输出:[] 示例 3: 输入:l1 = [], l2 = [0] 输出:[0]


 public ListNode mergeTwoLists(ListNode list1, ListNode list2) {
        if (list1 == null) {
            return list2;
        } else if (list2 == null) {
            return list1;
        }

        // 如果链表1的值小于链表2,再根据小的元素的下一个节点去比较
        if (list1.val < list2.val) {
            list1.next = mergeTwoLists(list1.next, list2);
            return list1;
        } else {
            list2.next = mergeTwoLists(list1, list2.next);
            return list2;
        }
    }