数据结构和算法概述

121 阅读5分钟

数据结构和算法概述

1.1 什么是数据结构?

  • 官方解释: 数据结构是一门研究非数值计算的程序设计问题中的操作对象,以及他们之间的关系和操作等相关问题的学科。
  • 大白话:数据结构就是把数据元素按照一定的关系组织起来的集合,用来组织和存储数据。

1.2 数据结构分类

传统上,我们可以把数据结构分为逻辑结构和物理结构两大类。 逻辑结构分类: 逻辑结构是从具体问题中抽象出来的模型,是抽象意义上的结构,按照对象中数据元素之间的相互关系分类,也是 我们后面课题中需要关注和讨论的问题。 a.集合结构:集合结构中数据元素除了属于同一个集合外,他们之间没有任何其他的关系。

image.png

b.线性结构:线性结构中的数据元素之间存在一对一的关系

image.png

c.树形结构:树形结构中的数据元素之间存在一对多的层次关系

image.png

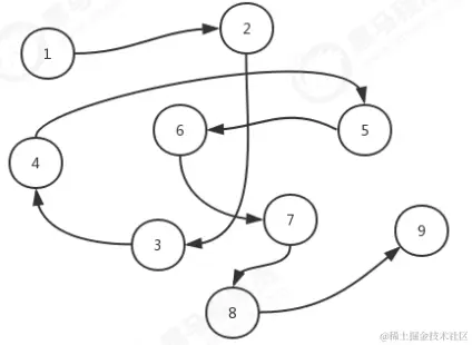
d.图形结构:图形结构的数据元素是多对多的关系

image.png

物理结构分类: 逻辑结构在计算机中真正的表示方式(又称为映像)称为物理结构,也可以叫做存储结构。常见的物理结构有顺序 存储结构、链式存储结构。 顺序存储结构: 把数据元素放到地址连续的存储单元里面,其数据间的逻辑关系和物理关系是一致的 ,比如我们常用的数组就是 顺序存储结构。

image.png

顺序存储结构存在一定的弊端,就像生活中排时也会有人插队也可能有人有特殊情况突然离开,这时候整个结构都 处于变化中,此时就需要链式存储结构。

链式存储结构: 是把数据元素存放在任意的存储单元里面,这组存储单元可以是连续的也可以是不连续的。此时,数据元素之间并 不能反映元素间的逻辑关系,因此在链式存储结构中引进了一个指针存放数据元素的地址,这样通过地址就可以找 到相关联数据元素的位置

image.png

1.3什么是算法?

官方解释: 算法是指解题方案的准确而完整的描述,是一系列解决问题的清晰指令,算法代表着用系统的方法解决问题的策略 机制。也就是说,能够对一定规范的输入,在有限时间内获得所要求的输出。

大白话: 根据一定的条件,对一些数据进行计算,得到需要的结果。

1.4算法初体验

在生活中,我们如果遇到某个问题,常常解决方案不是唯一的。 例如从西安到北京,如何去?会有不同的解决方案,我们可以坐飞机,可以坐火车,可以坐汽车,甚至可以步行, 不同的解决方案带来的时间成本和金钱成本是不一样的,比如坐飞机用的时间最少,但是费用最高,步行费用最 低,但时间最长。 再例如在北京二环内买一套四合院,如何付款?也会有不同的解决方案,可以一次性现金付清,也可以通过银行做 按揭。这两种解决方案带来的成本也不一样,一次性付清,虽然当时出的钱多,压力大,但是没有利息,按揭虽然 当时出的钱少,压力比较小,但是会有利息,而且30年的总利息几乎是贷款额度的一倍,需要多付钱。 在程序中,我们也可以用不同的算法解决相同的问题,而不同的算法的成本也是不相同的。总体上,一个优秀的算 法追求以下两个目标:

1.花最少的时间完成需求;

2.占用最少的内存空间完成需求;

下面我们用一些实际案例体验一些算法。

需求1:

计算1到100的和。

第一种解法

public static void main(String[] args) {

int sum = 0;

int n=100;

for (int i = 1; i <= n; i++) {

sum += i;

}

System.out.println("sum=" + sum);

}

第二种解法:

public static void main(String[] args) {

int sum = 0;

int n=100;

sum = (n+1)*n/2;

System.out.println("sum="+sum);

}

第一种解法要完成需求,要完成以下几个动作: 1.定义两个整型变量; 2.执行100次加法运算; 3.打印结果到控制台;

第二种解法要完成需求,要完成以下几个动作: 1.定义两个整型变量;2.执行1次加法运算,1次乘法运算,一次除法运算,总共3次运算;3.打印结果到控制台;

很明显,第二种算法完成需求,花费的时间更少一些。

需求2: 计算10的阶乘

第一种解法:

public class Test {

public static void main(String[] args) {

//测试,计算10的阶乘

long result = fun1(10);

System.out.println(result);

}

//计算n的阶乘

public static long fun1(long n){

if (n==1){

return 1;

}

return n*fun1(n-1);

}

}

第二种解法:

public class Test {

public static void main(String[] args) {

//测试,计算10的阶乘

long result = fun2(10);

System.out.println(result);

}

//计算n的阶乘

public static long fun2(long n){

int result=1;

for (long i = 1; i <= n; i++) {

result*=i;

}

return result;

}

}

第一种解法,使用递归完成需求,fun1方法会执行10次,并且第一次执行未完毕,调用第二次执行,第二次执行 未完毕,调用第三次执行...最终,最多的时候,需要在栈内存同时开辟10块内存分别执行10个fun1方法。 第二种解法,使用for循环完成需求,fun2方法只会执行一次,最终,只需要在栈内存开辟一块内存执行fun2方法即可。

很明显,第二种算法完成需求,占用的内存空间更小。