刷题31 K个一组翻转链表

65 阅读1分钟

给你链表的头节点 head ,每 k **个节点一组进行翻转,请你返回修改后的链表。

k 是一个正整数,它的值小于或等于链表的长度。如果节点总数不是 k **的整数倍,那么请将最后剩余的节点保持原有顺序。

你不能只是单纯的改变节点内部的值,而是需要实际进行节点交换。

 

示例 1:

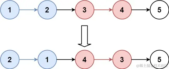
输入: head = [1,2,3,4,5], k = 2
输出: [2,1,4,3,5]

示例 2:

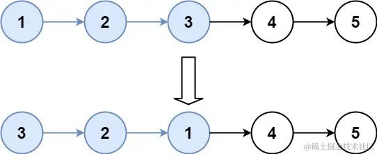
输入: head = [1,2,3,4,5], k = 3
输出: [3,2,1,4,5]

 

提示:

  • 链表中的节点数目为 n
  • 1 <= k <= n <= 5000
  • 0 <= Node.val <= 1000

 

进阶: 你可以设计一个只用 O(1) 额外内存空间的算法解决此问题吗?

题解: 多个子问题的组合

class Solution {
public ListNode reverseKGroup(ListNode head, int k) {
    if(head==null) return head;
    ListNode left=head,right=head;
    for(int i=0;i<k;i++){
        if(right==null)
            return head;//不够一组保持不动
        right=right.next;
    }
    //如果够进行反转
    ListNode newhead=reverse(left,right);
    left.next=reverseKGroup(right,k);
    return newhead;
}
 public ListNode reverse(ListNode left, ListNode right) {
     ListNode cur=left,next=left,pre=null;
     while(cur!=right){
         next=cur.next;
         cur.next=pre;
         pre=cur;
         cur=next;
     }
     return pre;
}
}