刷题30 两两交换链表中的节点

54 阅读1分钟

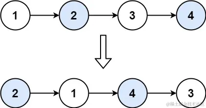
给你一个链表,两两交换其中相邻的节点,并返回交换后链表的头节点。你必须在不修改节点内部的值的情况下完成本题(即,只能进行节点交换)。

 

示例 1:

输入: head = [1,2,3,4]
输出: [2,1,4,3]

示例 2:

输入: head = []
输出: []

示例 3:

输入: head = [1]
输出: [1]

 

提示:

  • 链表中节点的数目在范围 [0, 100] 内
  • 0 <= Node.val <= 100

题解:递归

class Solution {
public ListNode swapPairs(ListNode head) {
    if(head == null || head.next == null){
            return head;
        }
    ListNode next=head.next;
    head.next=swapPairs(next.next);
    next.next=head;
    return next;
}
}