刷题33 排序链表

54 阅读1分钟

给你链表的头结点 head ,请将其按 升序 排列并返回 排序后的链表 。

 

示例 1:

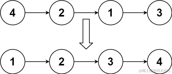
输入: head = [4,2,1,3]
输出: [1,2,3,4]

示例 2:

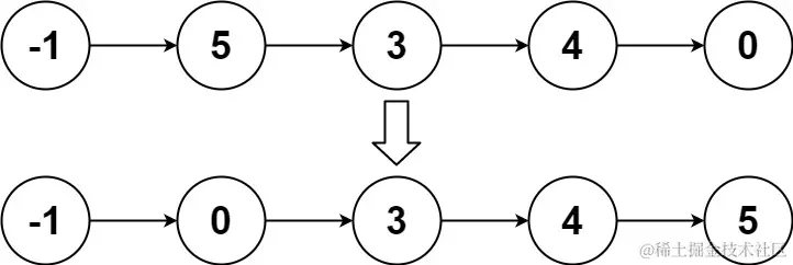
输入: head = [-1,5,3,4,0]
输出: [-1,0,3,4,5]

示例 3:

输入: head = []
输出: []

 

提示:

  • 链表中节点的数目在范围 [0, 5 * 104] 内
  • -105 <= Node.val <= 105

 

进阶: 你可以在 O(n log n) 时间复杂度和常数级空间复杂度下,对链表进行排序吗?

题解:

class Solution {
//归并排序
public ListNode sortList(ListNode head) {
  return meregeSort(head,null);
}
public ListNode meregeSort(ListNode head,ListNode tail){
    if(head==null) return head;
    if(head.next==tail){
        head.next=null;
        return head;
    }
    ListNode fast=head,slow=head;
    while(fast!=tail){
        slow=slow.next;
        fast=fast.next;
        if(fast!=tail)
            fast=fast.next;
    }
    ListNode temp1=meregeSort(head,slow);
    ListNode temp2=meregeSort(slow,tail);
    return merge(temp1,temp2);
}
   public ListNode merge(ListNode temp1,ListNode temp2){
       ListNode dummy=new ListNode(0);
       ListNode p=dummy;
       while(temp1!=null&&temp2!=null){
           if(temp1.val<temp2.val){
               p.next=temp1;
               temp1=temp1.next;
               p=p.next;
           }else{
               p.next=temp2;
               temp2=temp2.next;
               p=p.next;
           }
            }
           if(temp1==null) p.next=temp2;
           if(temp2==null) p.next=temp1;
           return dummy.next;
      
}

}