82. 删除排序链表中的重复元素 II

78 阅读1分钟

82. 删除排序链表中的重复元素 II

给定一个已排序的链表的头 head , 删除原始链表中所有重复数字的节点,只留下不同的数字 。返回 已排序的链表 。

 

示例 1:

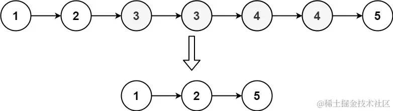
输入: head = [1,2,3,3,4,4,5]
输出: [1,2,5]

示例 2:

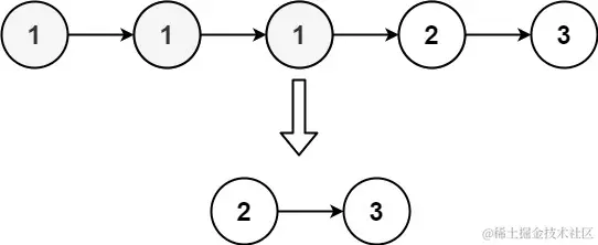
输入: head = [1,1,1,2,3]
输出: [2,3]

 

提示:

  • 链表中节点数目在范围 [0, 300] 内
  • -100 <= Node.val <= 100
  • 题目数据保证链表已经按升序 排列

代码

def deleteDuplicates( head):
    # 基础模型:三个节点,前置哨兵节点、第一个节点、第二个节点,比较第一个和第二个节点
    if head is None:
        return None

    d = ListNode(next = head) # 因为可能要删除头结点,建立1个初始前置哨兵节点
    cur = d # cur记录哨兵节点
    while cur.next and cur.next.next:
        # 循环条件后两个节点存在(至少2个节点谈重复才有意义) 
        t = cur.next.val # 先记录第1个需要对比值的节点的值

        # 如果第2个节点的值等于第1个的值,需要删除
        if cur.next.next.val == t:
            while cur.next and cur.next.val == t:
                # 如果有多个相等的节点,就从第1个节点(cur.next)开始,依次向后全部删完
                cur.next = cur.next.next
        else:
            cur = cur.next # 更新哨兵节点

    return d.next