刷题26 环形链表2

61 阅读1分钟

给定一个链表的头节点  head ,返回链表开始入环的第一个节点。 如果链表无环,则返回 null

如果链表中有某个节点,可以通过连续跟踪 next 指针再次到达,则链表中存在环。 为了表示给定链表中的环,评测系统内部使用整数 pos 来表示链表尾连接到链表中的位置(索引从 0 开始)。如果 pos 是 -1,则在该链表中没有环。注意:pos 不作为参数进行传递,仅仅是为了标识链表的实际情况。

不允许修改 链表。

 

示例 1:

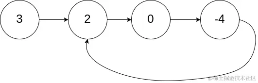
输入: head = [3,2,0,-4], pos = 1
输出: 返回索引为 1 的链表节点
解释: 链表中有一个环,其尾部连接到第二个节点。

示例 2:

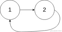
输入: head = [1,2], pos = 0
输出: 返回索引为 0 的链表节点
解释: 链表中有一个环,其尾部连接到第一个节点。

示例 3:

输入: head = [1], pos = -1
输出: 返回 null
解释: 链表中没有环。

 

提示:

  • 链表中节点的数目范围在范围 [0, 104] 内
  • -105 <= Node.val <= 105
  • pos 的值为 -1 或者链表中的一个有效索引

 

进阶: 你是否可以使用 O(1) 空间解决此题?

题解:

public class Solution {
public ListNode detectCycle(ListNode head) {
    
    if(head==null) return null;
    ListNode fast=head,slow=head;
    while (true) {
        if (fast == null || fast.next == null) return null;
        fast = fast.next.next;
        slow = slow.next;
        if (fast == slow) break;
    }
    fast = head;
    while (slow != fast) {
        slow = slow.next;
        fast = fast.next;
    }
    return fast;
}


}