83. 删除排序链表中的重复元素

46 阅读1分钟

83. 删除排序链表中的重复元素

给定一个已排序的链表的头 head , 删除所有重复的元素,使每个元素只出现一次 。返回 已排序的链表 。

 

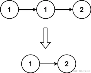
示例 1:

输入: head = [1,1,2]
输出: [1,2]

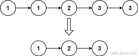
示例 2:

输入: head = [1,1,2,3,3]
输出: [1,2,3]

 

提示:

  • 链表中节点数目在范围 [0, 300] 内
  • -100 <= Node.val <= 100
  • 题目数据保证链表已经按升序 排列

代码

def deleteDuplicates(head):
    if head is None:
        return None
    cur = head
    while cur.next:
        if  cur.val == cur.next.val:
            cur.next = cur.next.next
        else:
            cur = cur.next

    return head