刷题22 相交链表

41 阅读3分钟

给你两个单链表的头节点 headA 和 headB ,请你找出并返回两个单链表相交的起始节点。如果两个链表不存在相交节点,返回 null 。

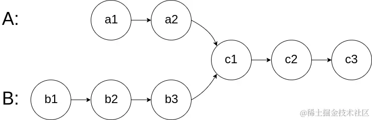
图示两个链表在节点 c1 开始相交

题目数据 保证 整个链式结构中不存在环。

注意,函数返回结果后,链表必须 保持其原始结构 。

自定义评测:

评测系统 的输入如下(你设计的程序 不适用 此输入):

  • intersectVal - 相交的起始节点的值。如果不存在相交节点,这一值为 0
  • listA - 第一个链表
  • listB - 第二个链表
  • skipA - 在 listA 中(从头节点开始)跳到交叉节点的节点数
  • skipB - 在 listB 中(从头节点开始)跳到交叉节点的节点数

评测系统将根据这些输入创建链式数据结构,并将两个头节点 headA 和 headB 传递给你的程序。如果程序能够正确返回相交节点,那么你的解决方案将被 视作正确答案 。

 

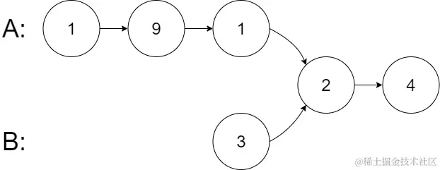
示例 1:

输入: intersectVal = 8, listA = [4,1,8,4,5], listB = [5,6,1,8,4,5], skipA = 2, skipB = 3
输出: Intersected at '8'
解释: 相交节点的值为 8 (注意,如果两个链表相交则不能为 0)。
从各自的表头开始算起,链表 A[4,1,8,4,5],链表 B[5,6,1,8,4,5]。
在 A 中,相交节点前有 2 个节点;在 B 中,相交节点前有 3 个节点。
— 请注意相交节点的值不为 1,因为在链表 A 和链表 B 之中值为 1 的节点 (A 中第二个节点和 B 中第三个节点) 是不同的节点。换句话说,它们在内存中指向两个不同的位置,而链表 A 和链表 B 中值为 8 的节点 (A 中第三个节点,B 中第四个节点) 在内存中指向相同的位置。

 

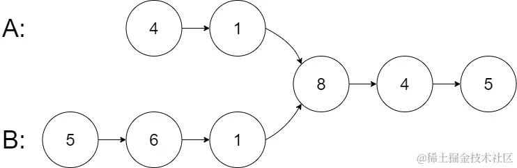
示例 2:

输入: intersectVal = 2, listA = [1,9,1,2,4], listB = [3,2,4], skipA = 3, skipB = 1
输出: Intersected at '2'
解释: 相交节点的值为 2 (注意,如果两个链表相交则不能为 0)。
从各自的表头开始算起,链表 A[1,9,1,2,4],链表 B[3,2,4]。
在 A 中,相交节点前有 3 个节点;在 B 中,相交节点前有 1 个节点。

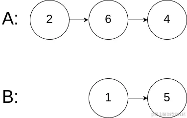
示例 3:

输入: intersectVal = 0, listA = [2,6,4], listB = [1,5], skipA = 3, skipB = 2
输出: null
解释: 从各自的表头开始算起,链表 A[2,6,4],链表 B[1,5]。
由于这两个链表不相交,所以 intersectVal 必须为 0,而 skipA 和 skipB 可以是任意值。
这两个链表不相交,因此返回 null 。

 

提示:

  • listA 中节点数目为 m
  • listB 中节点数目为 n
  • 1 <= m, n <= 3 * 104
  • 1 <= Node.val <= 105
  • 0 <= skipA <= m
  • 0 <= skipB <= n
  • 如果 listA 和 listB 没有交点,intersectVal 为 0
  • 如果 listA 和 listB 有交点,intersectVal == listA[skipA] == listB[skipB]

 

进阶: 你能否设计一个时间复杂度 O(m + n) 、仅用 O(1) 内存的解决方案?

题解:

如果两个链表相交,那么相交点之后的长度是相同的

我们需要做的事情是,让两个链表从同距离末尾同等距离的位置开始遍历。这个位置只能是较短链表的头结点位置。 为此,我们必须消除两个链表的长度差

指针 pA 指向 A 链表,指针 pB 指向 B 链表,依次往后遍历 如果 pA 到了末尾,则 pA = headB 继续遍历 如果 pB 到了末尾,则 pB = headA 继续遍历 比较长的链表指针指向较短链表head时,长度差就消除了 如此,只需要将最短链表遍历两次即可找到位置

public class Solution {
public ListNode getIntersectionNode(ListNode headA, ListNode headB) {
    //到头就回来
    if(headA==null||headB==null) return null;
    ListNode p=headA,q=headB;
    while(p!=q){
        p=p==null?headB:p.next;
        q=q==null?headA:q.next;
    }
    return p;
}

}