142. 环形链表 II

72 阅读1分钟

142. 环形链表 II

给定一个链表的头节点  head ,返回链表开始入环的第一个节点。 如果链表无环,则返回 null

如果链表中有某个节点,可以通过连续跟踪 next 指针再次到达,则链表中存在环。 为了表示给定链表中的环,评测系统内部使用整数 pos 来表示链表尾连接到链表中的位置(索引从 0 开始)。如果 pos 是 -1,则在该链表中没有环。注意:pos 不作为参数进行传递,仅仅是为了标识链表的实际情况。

不允许修改 链表。

 

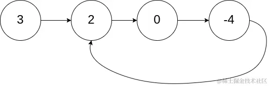
示例 1:

输入: head = [3,2,0,-4], pos = 1
输出: 返回索引为 1 的链表节点
解释: 链表中有一个环,其尾部连接到第二个节点。

示例 2:

输入: head = [1,2], pos = 0
输出: 返回索引为 0 的链表节点
解释: 链表中有一个环,其尾部连接到第一个节点。

示例 3:

输入: head = [1], pos = -1
输出: 返回 null
解释: 链表中没有环。

 

提示:

  • 链表中节点的数目范围在范围 [0, 10^4] 内
  • -10^5 <= Node.val <= 10^5
  • pos 的值为 -1 或者链表中的一个有效索引

 

进阶: 你是否可以使用 O(1) 空间解决此题?

知识点:快慢指针

一个结论:快慢指针相遇时,慢指针还没有走满一圈

QQ图片20231129113803.png

代码

# Definition for singly-linked list.
# class ListNode:
#     def __init__(self, x):
#         self.val = x
#         self.next = None

def detectCycle(head):
    slow = fast = head
    while fast and fast.next:
        # 先相遇
        slow = slow.next
        fast = fast.next.next
        if slow is fast:
            # 头结点和慢指针继续走
            while head is not slow:
                head = head.next
                slow = slow.next
            return head
    return None