25. K 个一组翻转链表

61 阅读1分钟

25. K 个一组翻转链表

给你链表的头节点 head ,每 k **个节点一组进行翻转,请你返回修改后的链表。

k 是一个正整数,它的值小于或等于链表的长度。如果节点总数不是 k **的整数倍,那么请将最后剩余的节点保持原有顺序。

你不能只是单纯的改变节点内部的值,而是需要实际进行节点交换。

 

示例 1:

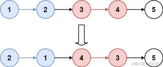
输入: head = [1,2,3,4,5], k = 2
输出: [2,1,4,3,5]

示例 2:

输入: head = [1,2,3,4,5], k = 3
输出: [3,2,1,4,5]

 

提示:

  • 链表中的节点数目为 n
  • 1 <= k <= n <= 5000
  • 0 <= Node.val <= 1000

 

进阶: 你可以设计一个只用 O(1) 额外内存空间的算法解决此问题吗?

代码

# Definition for singly-linked list.
# class ListNode:
#     def __init__(self, val=0, next=None):
#         self.val = val
#         self.next = next

def reverseKGroup( head, k):
    # 头结点也要反转,需要建立哨兵节点
    p0 = d = ListNode(next = head)
    n = 0
    p = head
    # 计算总结点数量,计算反转几次
    while p:
        n += 1
        p = p.next

    pre = None
    cur = p0.next # 初始指向left节点
    # 注意这里是大于等于
    while n >= k:
        n -= k
        for _ in range(k):
            nxt = cur.next
            cur.next = pre
            pre = cur
            cur = nxt

        t = p0.next # 记录下一次开始节点的上一个节点p0
        p0.next.next = cur
        p0.next = pre
        p0 = t # 新的p0

    return d.next