92. 反转链表 II

57 阅读1分钟

92. 反转链表 II

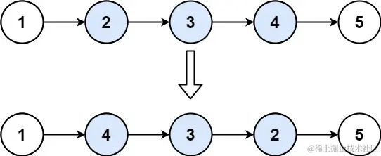
给你单链表的头指针 head 和两个整数 left 和 right ,其中 left <= right 。请你反转从位置 left 到位置 right 的链表节点,返回 反转后的链表 。

 

示例 1:

输入: head = [1,2,3,4,5], left = 2, right = 4
输出: [1,4,3,2,5]

示例 2:

输入: head = [5], left = 1, right = 1
输出: [5]

 

提示:

  • 链表中节点数目为 n
  • 1 <= n <= 500
  • -500 <= Node.val <= 500
  • 1 <= left <= right <= n

 

进阶:  你可以使用一趟扫描完成反转吗?

代码

# Definition for singly-linked list.
# class ListNode:
#     def __init__(self, val=0, next=None):
#         self.val = val
#         self.next = next

def reverseBetween(head, left, right):
    # 如果left = 1 ,没有p0 ,定义一个哨兵节点d
    d = ListNode(next = head)
    p0 = d
    # 走left - 1步到达left的上一个节点
    for _ in range(left - 1):
        p0 = p0.next

    # 然后反转[left , right] 这一段
    pre = None
    cur= p0.next # 初始指向left节点
    for _ in range(right - left + 1):
        nxt = cur.next
        cur.next = pre
        pre = cur
        cur = nxt

    # 定义2个指针,pre和cur,反转结束后pre指向末尾节点,cur指向末尾节点的下一个节点
    # left 节点指向cur ,left - 1 节点(定义为p0) 指向 pre
    p0.next.next = cur
    p0.next = pre

    return d.next