【二叉搜索树】day35_98. 验证二叉搜索树

35 阅读1分钟

给你一个二叉树的根节点 root ,判断其是否是一个有效的二叉搜索树。

有效 二叉搜索树定义如下:

  • 节点的左子树只包含 小于 当前节点的数。
  • 节点的右子树只包含 大于 当前节点的数。
  • 所有左子树和右子树自身必须也是二叉搜索树。

 

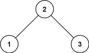
示例 1:

输入: root = [2,1,3]
输出: true

示例 2:

输入: root = [5,1,4,null,null,3,6]
输出: false
解释: 根节点的值是 5 ,但是右子节点的值是 4

 

提示:

  • 树中节点数目范围在[1, 104] 内
  • -231 <= Node.val <= 231 - 1

题解:

思路:中序遍历

中序遍历时,判断当前节点是否大于中序遍历的前一个节点,如果大于,说明满足 BST,继续遍历;否则直接返回 false。

时间复杂度:O(n)

空间复杂度:O(1)

/**
 * Definition for a binary tree node.
 * public class TreeNode {
 *     int val;
 *     TreeNode left;
 *     TreeNode right;
 *     TreeNode() {}
 *     TreeNode(int val) { this.val = val; }
 *     TreeNode(int val, TreeNode left, TreeNode right) {
 *         this.val = val;
 *         this.left = left;
 *         this.right = right;
 *     }
 * }
 */
class Solution {
    long pre = Long.MIN_VALUE;
    public boolean isValidBST(TreeNode root) {
        if (root == null) {
            return true;
        }
        // 访问左子树
        if (!isValidBST(root.left)) {
            return false;
        }
        // 访问当前节点:如果当前节点小于等于中序遍历的前一个节点,说明不满足BST,返回 false;否则继续遍历。
        if (root.val <= pre) {
            return false;
        }
        pre = root.val;
        // 访问右子树
        return isValidBST(root.right);
    }

}