基于SSM+MySQL+IDEA开发的计算机专业考试系统

95 阅读3分钟

基于基于SSM+MySQL+IDEA开发的计算机专业考试系统

项目介绍💁🏻

计算机专业考试系统是一种用于评估学生在计算机科学和相关领域知识掌握程度的工具。随着计算机技术的不断发展,越来越多的人开始关注计算机专业的学习和考试。因此,开发一款高效、可靠、易用的计算机专业考试系统变得越来越重要。

基于SSM+MySQL+IDEA开发的计算机专业考试系统是一款基于Java语言开发的Web应用程序,它采用了Spring、SpringMVC、MyBatis等框架来实现系统的业务逻辑和数据访问层。同时,该系统还使用了MySQL数据库来存储考试数据和用户信息。

该系统具有以下特点:

  1. 功能丰富:该系统提供了多种考试模式,包括单选题、多选题、填空题、简答题等,可以满足不同类型的考试需求。
  2. 安全性高:该系统采用了多重身份验证机制,确保只有授权的用户才能访问系统。同时,系统还对用户的操作进行了记录和审计,以便及时发现和处理异常情况。
  3. 可扩展性强:该系统具有良好的可扩展性,可以根据用户的需求进行定制化开发,满足不同场景下的考试需求。

总之,基于SSM+MySQL+IDEA开发的计算机专业考试系统是一款功能强大、安全可靠、易于扩展的Web应用程序,可以为学生提供高效、便捷的考试服务,同时也可以帮助学校和教育机构提高教学质量和管理效率。

功能模块

基于SSM+MySQL+IDEA开发的计算机专业考试系统是一款功能强大的Web应用程序,它采用了Spring、SpringMVC、MyBatis等框架来实现系统的业务逻辑和数据访问层。该系统提供了多种考试模式,包括单选题、多选题、填空题、简答题等,可以满足不同类型的考试需求。同时,该系统还具有安全性高、可扩展性强等特点,可以为学生提供高效、便捷的考试服务,同时也可以帮助学校和教育机构提高教学质量和管理效率。。

页面效果

计算机专业认证在线考试系统

功能模块图

技术选型

  • 前端

    • Html/Css/JavaScript
    • Bootstrap
    • jQuery
    • UploadFive
  • 后端

    • Spring/SpringMVC/Hibernate
    • Spring Security
    • slf4j/log4j
    • Gson
    • POI
    • Druid
  • 数据库

    • MySQL

界面展示

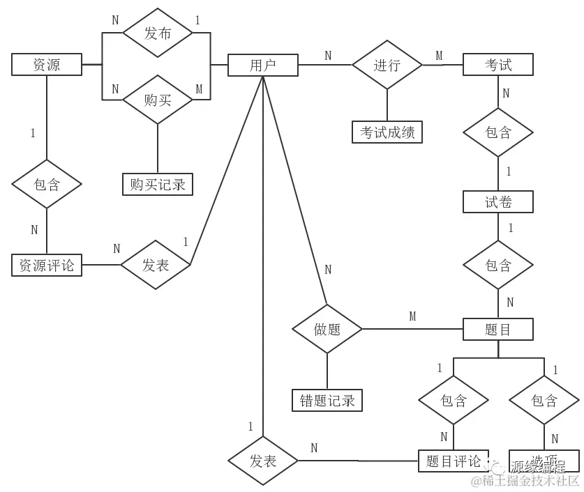
ER图

项目包结构

bd758d9ef81b541e724b68f217adae71.png

9935ed8dfa718bbfc2b03a63d2fb131b.png

ba6d7b539bcb65c623a9733e75ff4a09.png

f0129f50b95b503bd19b79e30f89c360.png

7dc6eea08977101820ca11d2a45d7821.png

efcb13708af1fdd8693e3f7f84659733.png

826692777dea45e61717295f26f67a82.png

登录页面 

9dbc7a5b543ed8aff33d46d477854314.png

考试结果\

9056a87fa833469e39c5bd99f5683e32.png

考试页面信息 \

af039c9aa92a7ff2547fdef89f8474ff.png

上传资源信息\

ebc34f1b6978a021538a767b0604525f.png

题目讨论信息 \

1fe3c37ef86bbf97b9b4265d29484970.png

资源详情信息 \

a8d3f65b7cbdd9894cedaaeac478862b.png

\

运行教程                                                        

编号296-计算机专业认证在线考试系统

\

系统源码

进入公众号,在右上角有放大镜,就是搜索公众号内全部文章的题目,公众号各类的素材和相关的题目都可以通过这个方法来进行搜索。

输入要自己想要看的题材和对应的素材就可以了,因为的将各个类目的题材,都浓缩在题目里面, 所以只要是标题里面有的,或者涵盖了你的题目素材基本上都可以搜索的到。

a9a149697f44b07765cedc52d2b0ab01.png

关注微信公众号 “letcoding”---》源缘编程

\