【二叉树】day32_114. 二叉树展开为链表

59 阅读1分钟

给你二叉树的根结点 root ,请你将它展开为一个单链表:

  • 展开后的单链表应该同样使用 TreeNode ,其中 right 子指针指向链表中下一个结点,而左子指针始终为 null 。
  • 展开后的单链表应该与二叉树 先序遍历 顺序相同。

 

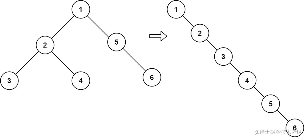
示例 1:

输入: root = [1,2,5,3,4,null,6]
输出: [1,null,2,null,3,null,4,null,5,null,6]

示例 2:

输入: root = []
输出: []

示例 3:

输入: root = [0]
输出: [0]

 

提示:

  • 树中结点数在范围 [0, 2000] 内
  • -100 <= Node.val <= 100

题解:

思路:

  1. 将左子树插入到右子树的地方
  2. 将原来的右子树接到左子树的最右边节点
  3. 考虑新的右子树的根节点,一直重复上边的过程,直到新的右子树为 null

时间复杂度:O(n)

空间复杂度:O(1)

/**
 * Definition for a binary tree node.
 * public class TreeNode {
 *     int val;
 *     TreeNode left;
 *     TreeNode right;
 *     TreeNode() {}
 *     TreeNode(int val) { this.val = val; }
 *     TreeNode(int val, TreeNode left, TreeNode right) {
 *         this.val = val;
 *         this.left = left;
 *         this.right = right;
 *     }
 * }
 */
class Solution {
    public void flatten(TreeNode root) {
        while (root != null) { 
            //左子树为 null,直接考虑下一个节点
            if (root.left == null) {
                root = root.right;
            } else {
                // 找左子树最右边的节点
                TreeNode pre = root.left;
                while (pre.right != null) {
                    pre = pre.right;
                } 
                //将原来的右子树接到左子树的最右边节点
                pre.right = root.right;
                // 将左子树插入到右子树的地方
                root.right = root.left;
                root.left = null;
                // 考虑下一个节点
                root = root.right;
            }
        }
    }
}