【二叉树】day31_105. 从前序与中序遍历序列构造二叉树

38 阅读1分钟

给定两个整数数组 preorder 和 inorder ,其中 preorder 是二叉树的先序遍历, inorder 是同一棵树的中序遍历,请构造二叉树并返回其根节点。

 

示例 1:

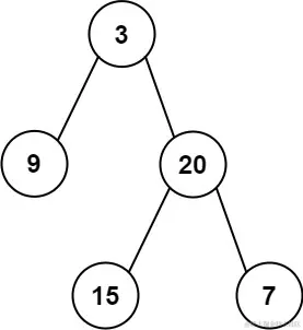
输入 : preorder = [3,9,20,15,7], inorder = [9,3,15,20,7]
输出: [3,9,20,null,null,15,7]

示例 2:

输入: preorder = [-1], inorder = [-1]
输出: [-1]

 

提示:

  • 1 <= preorder.length <= 3000
  • inorder.length == preorder.length
  • -3000 <= preorder[i], inorder[i] <= 3000
  • preorder 和 inorder 均 无重复 元素
  • inorder 均出现在 preorder
  • preorder 保证 为二叉树的前序遍历序列
  • inorder 保证 为二叉树的中序遍历序列

题解:

思路:递归+map

时间复杂度:O(n)

空间复杂度:O(n)

/**
 * Definition for a binary tree node.
 * public class TreeNode {
 *     int val;
 *     TreeNode left;
 *     TreeNode right;
 *     TreeNode() {}
 *     TreeNode(int val) { this.val = val; }
 *     TreeNode(int val, TreeNode left, TreeNode right) {
 *         this.val = val;
 *         this.left = left;
 *         this.right = right;
 *     }
 * }
 */
class Solution {
    private Map<Integer, Integer> indexMap;
    
    public TreeNode buildTree(int[] preorder, int[] inorder) {
        indexMap = new HashMap<>();
        int len = preorder.length;
        for (int i = 0; i < len; i++) {
            indexMap.put(inorder[i], i);
        }
        return build(preorder, 0, len - 1, 0);
    }
    private TreeNode build(int[] preorder, int start, int end, int inorderStart) {
        if (start > end) return null;
        TreeNode node = new TreeNode(preorder[start]);
        int rootIndex = indexMap.get(preorder[start]);
        int leftTreeLen = rootIndex - inorderStart;
        
        node.left = build(preorder, start + 1, start + leftTreeLen, inorderStart);
        node.right = build(preorder, start + leftTreeLen + 1, end, rootIndex + 1);
        return node;
    }
}