C程序设计入门必刷题

90 阅读1分钟

题目1:求1到100整数和

设计算法:

2-4-4.png

C代码实现:

image.png

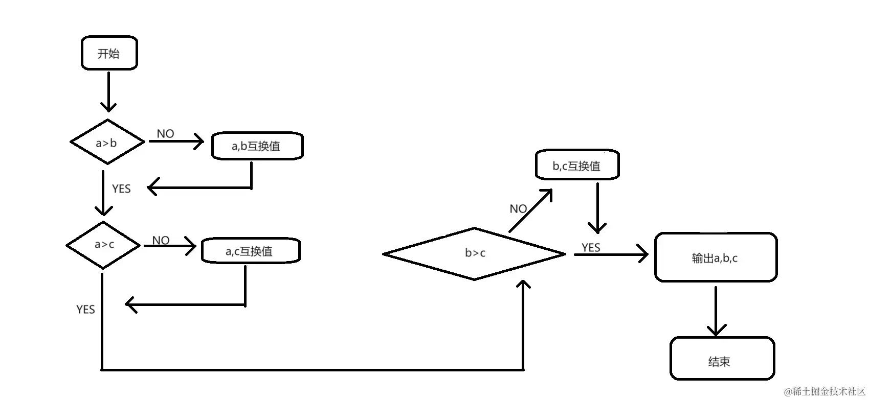
题目2:输入3个整数,按大小顺序输出

设计算法:

image.png

C代码实现:

image.png

题目3:判断一个数n能否同时被3和5整除

设计算法:

2-4-5.png

C代码实现:

image.png

题目4:求两个数m和n的最大公约数

设计算法:

2-4-7.png

C代码实现:

image.png

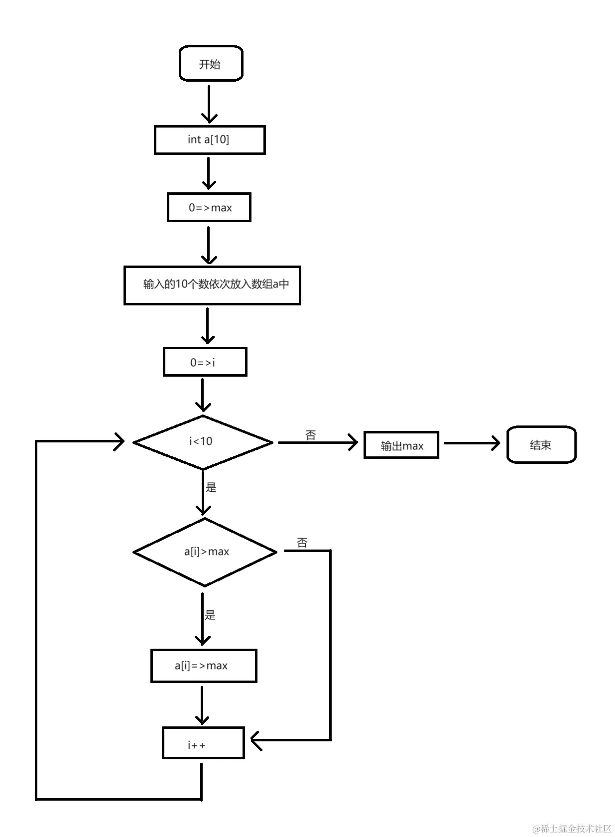
题目5:输入10个数,输出最大的那个

设计算法:

2-4-2.png

C代码实现:

image.png

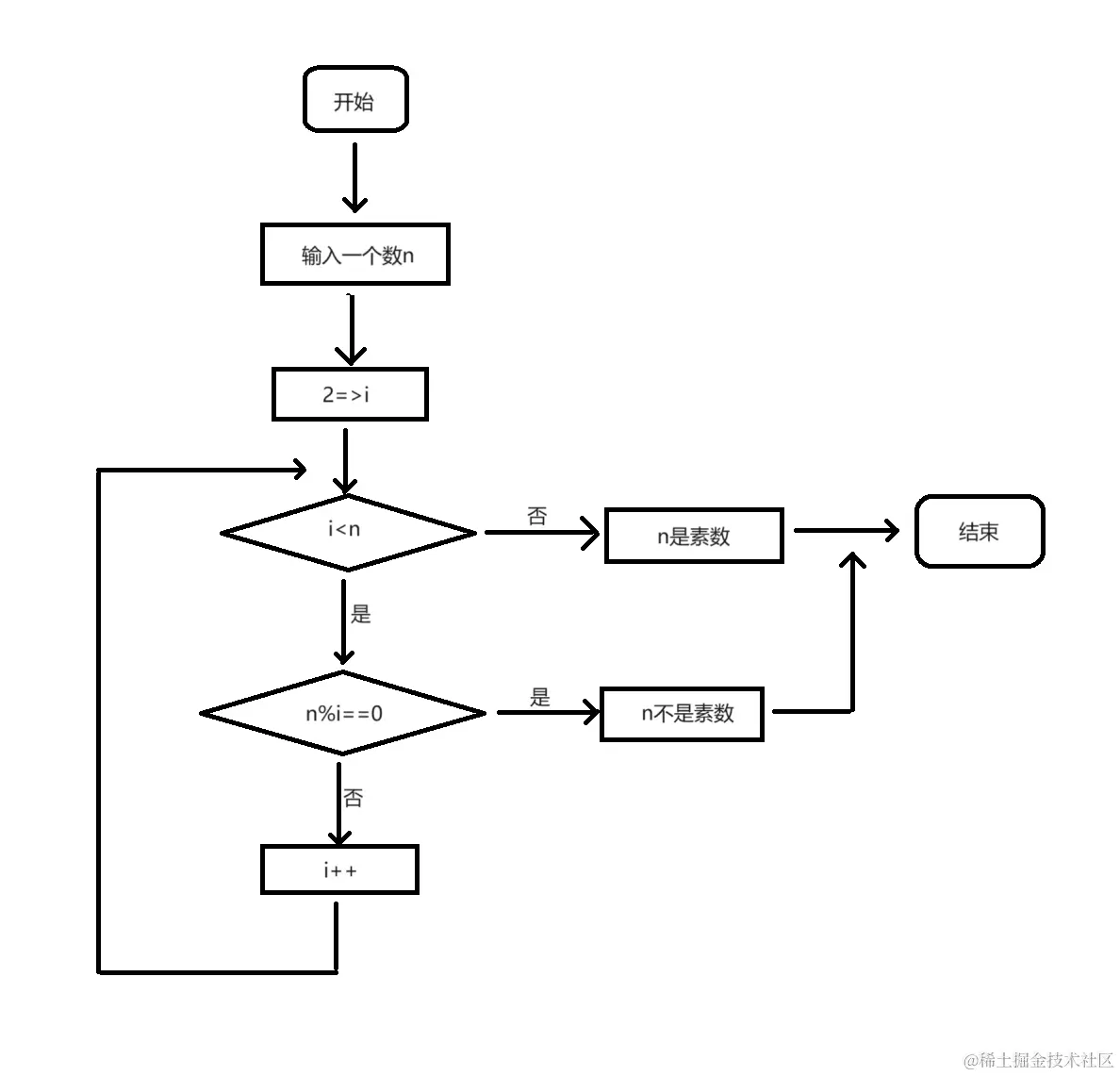
题目6:输入一个数,判断是否是素数

设计算法:

2-5.png

C代码实现:

image.png

希望对你有所帮助!