当下,RLHF/ChatGPT 已经变成了一个非常流行的话题。我们正在致力于更多有关 RLHF 的研究,这篇博客尝试复现 OpenAI 在 2019 年开源的原始 RLHF 代码库,其仓库位置位于 openai/lm-human-preferences。尽管它具有 “tensorflow-1.x” 的特性,但 OpenAI 的原始代码库评估和基准测试非常完善,使其成为研究 RLHF 实现工程细节的好地方。
我们的目标是:
- 复现 OAI 在风格化任务中的结果,并匹配 openai/lm-human-preferences 的学习曲线。
- 提供一个实现细节的清单,类似于 近端优化策略的 37 个实施细节 (The 37 Implementation Details of Proximal Policy Optimization) 和 没有痛苦折磨的调试 RL (Debugging RL, Without the Agonizing Pain) 的风格;
- 提供一个易于阅读且简洁的 RLHF 参考实现;
这项工作仅适用于以教育/学习为目的的。对于需要更多功能的高级用户,例如使用 PEFT 运行更大的模型, huggingface/trl 将是一个不错的选择。
- 在 匹配学习曲线 中,我们展示了我们的主要贡献: 创建一个代码库,能够在风格化任务中复现 OAI 的结果,并且与 openai/lm-human-preferences 的学习曲线非常接近地匹配。
- 然后我们深入探讨了与复现 OAI 的工作相关的实现细节。在 总体实现细节 中,我们讨论了基本细节,像如何生成奖励/值和如何生成响应。在 奖励模型实现细节 中,我们讨论了诸如奖励标准化之类的细节。在 策略训练实现细节 中,我们讨论了拒绝采样和奖励“白化”等细节。
- 在 PyTorch Adam 优化器在处理 RLHF 时的数值问题 中,我们强调了 TensorFlow 和 PyTorch 之间 Adam 的一个非常有趣的实现区别,其导致了模型训练中的激进更新。
- 接下来,我们检查了在奖励标签由
gpt2-large生成的情况下,训练不同基础模型 (例如 gpt2-xl, falcon-1b) 的效果。
- 最后,我们通过讨论一些限制来总结我们的研究工作。
以下是一些重要链接:
- 🐝 所有的 w&b 训练日志 https://wandb.ai/openrlbenchmark/lm_human_preference_details
匹配学习曲线
我们的主要贡献是在风格化任务中复现 OAI 的结果,例如情感和描述性。如下图所示,我们的代码库 (橙色曲线) 能够产生与 OAI 的代码库 (蓝色曲线) 几乎相同的学习曲线。
关于运行 openai/lm-human-preferences 的说明
为了直观比较,我们运行了原始的 RLHF 代码,其仓库位置位于 openai/lm-human-preferences,它将提供宝贵的指标,以帮助验证和诊断我们的复现。我们能够设置原始的 TensorFlow 1.x 代码,但它需要一个非常特定的设置:
- OAI 的数据集部分损坏/丢失 (所以我们用类似的 HF 数据集替换了它们,这可能会或可能不会导致性能差异)
- 具体来说,它的书籍数据集在 OpenAI 的 GCP - Azure 迁移过程中丢失了 (github.com/openai/lm-h…)。我用 Hugging Face 的
bookcorpus数据集替换了书籍数据集,原则上,这是类似 OAI 使用的数据集。
- 它不能在 1 个 V100 上运行,因为它没有实现梯度累积。相反,它使用一个大的 BS (批量大小),并在 8 个 GPU 上分割 batch (批量),仅在 1 个 GPU 上就会出现 OOM (内存溢出)。
- 它不能在 8 个 A100 上运行,因为它使用的是 TensorFlow 1.x,与 Cuda 8+ 不兼容。
- 它不能在 8 个 V100 (16GB) 上运行,因为它会 OOM (内存溢出)。
- 它只能在 8 个 V100 (32GB) 上运行,这种配置仅由 AWS 以
p3dn.24xlarge实例的形式提供。
总体实现细节
我们现在深入探讨与复现 OAI 工作相关的技术实现细节。在这个部分,我们讨论了一些基本细节,例如奖励/值是如何生成的,以及响应是如何生成的。以下是这些细节,不按特定顺序列出:
- 奖励模型和策略的价值头将
query和response的连接作为输入
- 奖励模型和策略的价值头 不 仅仅查看响应。相反,它将
query和response连接在一起,作为query_response(lm_human_preferences/rewards.py#L105-L107)。
- 举例来说,如果
query = "他在想某事,但他的眼神很难读懂"。,和response = "他看着他的左手,手臂伸在他的前面。",那么奖励模型和策略的价值会对query_response = "他在想某事,但他的眼神很难读懂。他看着他的左手,手臂伸在他的前面。"进行前向传递,并产生形状为(B, T, 1)的奖励和价值,其中B是 BS (批量大小),T是序列长度,而1代表奖励头的输出结构的维度为 1 (lm_human_preferences/rewards.py#L105-L107, lm_human_preferences/policy.py#L111)。
T意味着每个 token 都有与其和前文关联的奖励。例如,eyestoken 将有一个与他在想某事,但他的眼神很难读懂相对应的奖励。
- 使用特殊的填充 token 来填充和截断输入。
- OAI 为查询
query_length设置了固定的输入长度; 它使用pad_token填充 过短的序列 (lm_human_preferences/language/datasets.py#L66-L67),并 截断 过长的序列 (lm_human_preferences/language/datasets.py#L57)。详见 此处 以获取该概念的通用介绍。在填充输入时,OAI 使用了词汇表之外的 token (lm_human_preferences/language/encodings.py#L56)。
- 关于 HF 的 transformers — 填充 token 的注解。 根据 (transformers#2630#issuecomment-578159876),在 GPT 和 GPT-2 的预训练期间没有使用填充 token; 因此,transformer 的 gpt2 模型与其分词器没有关联的官方填充 token。通常的做法是设置
tokenizer.pad_token = tokenizer.eos_token,但在这项工作中,我们将区分这两个特殊 token 以匹配 OAI 的原始设置,所以我们将使用tokenizer.add_special_tokens({"pad_token": "[PAD]"})。
- 注意,没有填充 token 是解码器模型的默认设置,因为它们在预训练期间使用“打包”训练,这意味着许多序列被连接并由 EOS token 分隔,这些序列的块在预训练期间始终具有最大长度并被馈送到模型中。
- 当把所有事物放在一起时,这里有一个例子
import transformers
tokenizer = transformers.AutoTokenizer.from_pretrained("gpt2", padding_side="right")
tokenizer.add_special_tokens({"pad_token": "[PAD]"})
query_length = 5
texts = [
"usually, he would",
"she thought about it",
]
tokens = []
for text in texts:
tokens.append(tokenizer.encode(text)[:query_length])
print("tokens", tokens)
inputs = tokenizer.pad(
{"input_ids": tokens},
padding="max_length",
max_length=query_length,
return_tensors="pt",
return_attention_mask=True,
)
print("inputs", inputs)
"""prints are
tokens [[23073, 11, 339, 561], [7091, 1807, 546, 340]]
inputs {'input_ids': tensor([[23073, 11, 339, 561, 50257],
[ 7091, 1807, 546, 340, 50257]]), 'attention_mask': tensor([[1, 1, 1, 1, 0],
[1, 1, 1, 1, 0]])}
"""
相应地调整填充 token 的位置索引
- 在计算 logits 时,OAI 的代码通过适当地屏蔽填充 token 来工作。这是通过找出与填充 token 相对应的 token 索引来实现的 (lm_human_preferences/language/model.py#L296-L297),然后相应地调整它们的位置索引 (lm_human_preferences/language/model.py#L320)。
- 例如,如果
query=[23073, 50259, 50259]和response=[11, 339, 561],其中 (50259是 OAI 的填充 token),它会创建位置索引为[[0 1 1 1 2 3]]并且如下的 logits。注意填充 token 对应的 logits 如何保持不变!这是我们在复制过程中应该追求的效果。
all_logits [[[ -35.28693 -34.2875 -38.16074 ... -41.595802 -41.082108 -35.36577 ]
[ -35.28693 -34.2875 -38.16074 ... -41.595802 -41.082108 -35.36577 ]
[ -35.28693 -34.2875 -38.16074 ... -41.595802 -41.082108 -35.36577 ]
[-111.303955 -110.94471 -112.90624 ... -113.13064 -113.7788-109.17345 ]
[-111.51512 -109.61077 -114.90231 ... -118.43514 -111.56671-112.12478 ]
[-122.69775 -121.84468 -128.27417 ... -132.28055 -130.39604-125.707756]]] (1, 6, 50257)
关于 HF 的 transformers — position_ids 和 padding_side 的注解。 我们可以通过 1) 左填充和 2) 传入适当的 position_ids ,使用 Hugging Face 的 transformer 复制精确的 logits:
import torch
import transformers
tokenizer = transformers.AutoTokenizer.from_pretrained("gpt2", padding_side="right")
tokenizer.add_special_tokens({"pad_token": "[PAD]"})
pad_id = tokenizer.pad_token_id
query = torch.tensor([
[pad_id, pad_id, 23073],
])
response = torch.tensor([
[11, 339, 561],
])
temperature = 1.0
query = torch.tensor(query)
response = torch.tensor(response).long()
context_length = query.shape[1]
query_response = torch.cat((query, response), 1)
pretrained_model = transformers.AutoModelForCausalLM.from_pretrained("gpt2")
def forward(policy, query_responses, tokenizer):
attention_mask = query_responses != tokenizer.pad_token_id
position_ids = attention_mask.cumsum(1) - attention_mask.long() # exclusive cumsum
input_ids = query_responses.clone()
input_ids[~attention_mask] = 0
return policy(
input_ids=input_ids,
attention_mask=attention_mask,
position_ids=position_ids,
return_dict=True,
output_hidden_states=True,
)
output = forward(pretrained_model, query_response, tokenizer)
logits = output.logits
logits /= temperature
print(logits)
"""
tensor([[[ -26.9395, -26.4709, -30.0456, ..., -33.2208, -33.2884,
-27.4360],
[ -27.1677, -26.7330, -30.2386, ..., -33.6813, -33.6931,
-27.5928],
[ -35.2869, -34.2875, -38.1608, ..., -41.5958, -41.0821,
-35.3658],
[-111.3040, -110.9447, -112.9062, ..., -113.1306, -113.7788,
-109.1734],
[-111.5152, -109.6108, -114.9024, ..., -118.4352, -111.5668,
-112.1248],
[-122.6978, -121.8447, -128.2742, ..., -132.2805, -130.3961,
-125.7078]]], grad_fn=<DivBackward0>)
"""
- 关于 HF 的 transformers ——在
生成过程中的position_ids的注解: 在生成过程中,我们不应传入position_ids,因为在transformers中,position_ids已经以某种方式被调整了。当我在生成过程中也传入position_ids时,性能会灾难性地恶化。
- 通常情况下,我们几乎从不在 transformers 中传递
position_ids。所有的遮蔽 (masking) 和移位 (shifting) logic 已经实现,例如,在generate函数中 (需要永久的代码链接)。
- 生成固定长度响应的响应生成不需要填充。
- 在响应生成期间,OAI 使用
top_k=0, top_p=1.0并仅在词汇表上做分类样本 (lm_human_preferences/language/sample.py#L43),代码会一直采样,直到生成固定长度的响应 (lm_human_preferences/policy.py#L103)。值得注意的是,即使遇到 EOS (序列结束) token ,它也会继续采样。
- 关于 HF 的 transformers 的注解 — 在
eos_token处采样可能会停止: 在transformers中,生成可能会在eos_token处停止 (src/transformers/generation/utils.py#L2248-L2256),这与 OAI 的设置不同。为了对齐设置,我们需要设置pretrained_model.generation_config.eos_token_id = None, pretrained_model.generation_config.pad_token_id = None。请注意,transformers.GenerationConfig(eos_token_id=None, pad_token_id=None, ...)不起作用,因为pretrained_model.generation_config会覆盖并设置一个eos_token。
import torch
import transformers
tokenizer = transformers.AutoTokenizer.from_pretrained("gpt2", padding_side="right")
tokenizer.add_special_tokens({"pad_token": "[PAD]"})
pad_id = tokenizer.pad_token_id
query = torch.tensor([
[pad_id, pad_id, 23073],
])
response = torch.tensor([
[11, 339, 561],
])
response_length = 4
temperature = 0.7
pretrained_model = transformers.AutoModelForCausalLM.from_pretrained("gpt2")
pretrained_model.generation_config.eos_token_id = None # disable `pad_token_id` and `eos_token_id` because we just want to
pretrained_model.generation_config.pad_token_id = None # generate tokens without truncation / padding
generation_config = transformers.GenerationConfig(
max_new_tokens=response_length,
min_new_tokens=response_length,
temperature=temperature,
top_k=0.0,
top_p=1.0,
do_sample=True,
)
context_length = query.shape[1]
attention_mask = query != tokenizer.pad_token_id
input_ids = query.clone()
input_ids[~attention_mask] = 0 # set padding tokens to 0
output = pretrained_model.generate(
input_ids=input_ids,
attention_mask=attention_mask,
# position_ids=attention_mask.cumsum(1) - attention_mask.long(), # generation collapsed if this was turned on. TODO: why does generation collapse with this?
generation_config=generation_config,
return_dict_in_generate=True,
)
print(output.sequences)
"""
tensor([[ 0, 0, 23073, 16851, 11, 475, 991]])
"""
- 请注意,在较新的代码库 github.com/openai/summ… 中,当遇到 EOS token 时,OAI 确实会停止采样 (summarize_from_feedback/utils/experiment_helpers.py#L19)。然而,在这项工作中,我们的目标是进行 1:1 的复刻,所以我们调整了设置,即使遇到 eos_token 也可以继续采样。
- 奖励模型和策略训练的学习率退火。
- 正如 Ziegler 等人 (2019) 建议的,奖励模型只训练一个 epcho,以避免过度拟合有限量的人类注释数据 (例如,
descriptiveness任务只有大约 5000 个标签)。在这个单一的 epcho 中,学习率会退火至零 (lm_human_preferences/train_reward.py#L249)。
- 类似于奖励模型训练,策略训练的学习率也会退火至零 (lm_human_preferences/train_policy.py#L172-L173)。
- 为不同的进程使用不同的种子
- 在生成 8 个 GPU 进程进行数据并行时,OAI 为每个进程设置了不同的随机种子 (lm_human_preferences/utils/core.py#L108-L111)。在实现上,这是通过
local_seed = args.seed + process_rank * 100003完成的。种子会让模型产生不同的响应并得到不同的分数,例如。
- 注: 我认为数据集的洗牌 (shuffling) 存在一个错误——由于某种原因,数据集是使用相同的种子进行洗牌的 (lm_human_preferences/lm_tasks.py#L94-L97)。
奖励模型实现细节
在本节中,我们讨论了奖励模型特定的实现细节。我们讨论了诸如奖励归一化和层初始化等细节。以下是这些细节,不按特定顺序排列:
- 奖励模型只输出最后一个 token 的值。
- 请注意,在对
query和response的连接进行前向传递后获得的奖励将具有形状(B, T, 1),其中B是 BS(批量大小),T是序列长度 (始终相同; 在 OAI 的设置中,它是query_length + response_length = 64 + 24 = 88,用于风格任务,参见 launch.py#L9-L11),1是奖励头其维度为 1。对于 RLHF (Reinforcement Learning from Human Feedback,通过人类反馈进行强化学习) 的目的,原始代码库提取最后一个 token 的奖励 (lm_human_preferences/rewards.py#L132),因此奖励将只具有形状(B, 1)。
- 请注意,在较新的代码库 openai/summarize-from-feedback 中,OAI 在遇到 EOS token 时停止采样 (summarize_from_feedback/utils/experiment_helpers.py#L19)。在提取奖励时,它将确定
last_response_index,即 EOS token 之前的索引 (#L11-L13),并在该索引处提取奖励 (summarize_from_feedback/reward_model.py#L59)。但在此工作中,我们只是坚持原始设置。
- 奖励头层初始化
- 奖励头的权重是根据 �(0,1/(�model +1)) 初始化的 (lm_human_preferences/language/model.py#L368, lm_human_preferences/language/model.py#L251-L252)。这与 Stiennon 等人的设置相符,2020 年 (summarize_from_feedback/query_response_model.py#L106-L107) (附注,Stiennon 等人,2020 年在第 17 页上有一个错字,表示分布是 �(0,1/(�model +1)) 没有平方根)
- 奖励头的 bias (偏置) 设为 0 (lm_human_preferences/language/model.py#L254)。
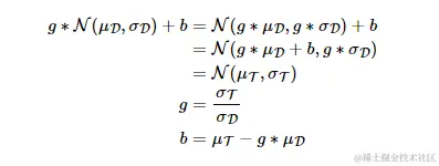
- 奖励模型的前后归一化
- 在论文中,Ziegler 等人 (2019) 提到“为了保持训练过程中奖励模型的规模一致,我们将其归一化,使其在 �∼�,�∼�(·|�) 的情况下,均值为 0,方差为 1”。为了执行归一化过程,代码首先创建了
reward_gain和reward_bias,以便可以通过reward = reward * reward_gain + reward_bias来计算奖励值 (lm_human_preferences/rewards.py#L50-L51)。
- 在执行归一化过程时,代码首先设置
reward_gain=1, reward_bias=0(lm_human_preferences/train_reward.py#L211),然后从目标数据集 (例如,bookcorpus, tldr, cnndm) 中收集采样查询、完成的响应和评估的奖励。接着,它得到评估奖励的 实证均值和标准差 (lm_human_preferences/train_reward.py#L162-L167),并尝试计算reward_gain和reward_bias应该是什么。
- 我们用�� 来表示实证均值,用�� 表示实证标准差,用� 表示
reward_gain,用� 表示reward_bias,用��=0 表示 目标均值,用��=1 表示 目标标准差。然后我们有以下公式。
- 然后在奖励模型训练的 前 和 后 应用归一化过程 (lm_human_preferences/train_reward.py#L232-L234,lm_human_preferences/train_reward.py#L252-L254)。
- 请注意,我们为归一化目的生成的响应 �∼�(·|�) 来自预训练的语言模型 �。模型 � 被固定为参考,并且在奖励学习中不会更新 (lm_human_preferences/train_reward.py#L286C1-L286C31)。
策略训练实现细节
在本节中,我们将深入探讨诸如层初始化、数据后处理和 dropout 设置等细节。我们还将探讨一些技术,如拒绝采样和奖励 “白化”,以及自适应 KL。以下是这些细节,排列不分先后:
- 通过采样温度来缩放 logits
- 在计算响应的对数概率时,模型首先输出响应中 token 的 logits,然后用采样温度除以这些 logits (lm_human_preferences/policy.py#L121)。即
logits /= self.temperature
- 在一个非正式的测试中,我们发现如果不进行此缩放,KL 散度会比预期更快地上升,性能会下降。
- 价值头层的初始化
- 价值头的权重是根据 �(0,0) 进行初始化的 (lm_human_preferences/language/model.py#L368、lm_human_preferences/language/model.py#L251-L252)。
- 奖励头的 bias (偏置) 设置为 0 (lm_human_preferences/language/model.py#L254)。
- 选择以句号开始和结束的查询文本
- 这是数据预处理的一部分:
- 尝试仅在
start_text="."之后选择文本 (lm_human_preferences/language/datasets.py#L51)
- 尝试在
end_text="."之前选择文本 (lm_human_preferences/language/datasets.py#L61)
- 在运行
openai/lm-human-preferences时,OAI 的数据集部分损坏/丢失 (openai/lm-human-preferences/issues/17#issuecomment-104405149),因此我们不得不用类似的 HF 数据集替换它们,这可能会或可能不会导致性能差异。
- 对于书籍数据集,我们使用 huggingface.co/datasets/bo…,我们发现没有必要提取以句号开始和结束的句子,因为数据集已经是这样预处理过的 (例如,
"usually , he would be tearing around the living room , playing with his toys.") 为此,我们为sentiment和descriptiveness任务设置start_text=None, end_text=None。
- 禁用 dropout
- Ziegler 等人 (2019) 建议,“我们在策略训练中不使用 dropout。” 这也在代码中实现了 (lm_human_preferences/policy.py#L48)。
- 拒绝采样
- Ziegler 等人 (2019) 建议: “我们使用拒绝采样来确保在第 16 和 24 个 token 之间有一个句号,然后在那个句号处截断 (这是‘句子结束’的粗略近似。我们选择它是因为它很容易集成到 RL 循环中,即使是粗略的近似也足以使人类评估任务变得稍微容易一些)。在 RL 微调期间,我们对没有这样的句号的延续给予固定奖励 -1。”
- 具体来说,通过以下步骤实现此目的:
- token 截断: 我们想要在第一个出现在响应的
truncate_after位置之后的truncate_token处截断 (lm_human_preferences/train_policy.py#L378)。
- 代码注释: “中心示例: 将截断 token 后的所有 token 替换为填充 token”
- 在截断响应上运行奖励模型: 在 token 截断过程将响应截断后,代码然后在 截断的响应 上运行奖励模型。
- 拒绝采样: 如果在第 16 和 24 个 token 之间没有句号,那么将响应的分数替换为固定的低值 (例如 -1) (lm_human_preferences/train_policy.py#L384、lm_human_preferences/train_policy.py#L384-L402)。
- 代码注释: “中心示例: 确保样本包含
truncate_token“
- 代码注释: “只对通过该功能的响应进行人类查询”
- 在
descriptiveness中举一些例子:
- 从我们的复制中提取的样本 wandb.ai/openrlbench…。请注意,第 1 和第 3 个示例在句号后有太多 token,因此其分数被替换为 -1。
- 折现因子 (discount factor) = 1
- 折现因子 � 设置为 1 (lm_human_preferences/train_policy.py#L56),这意味着未来的奖励与即时奖励具有相同的权重。
- 训练循环的术语: PPO 中的批次和小批次
- OAI 使用以下训练循环 (lm_human_preferences/train_policy.py#L184-L192)。注意: 我们额外添加了
micro_batch_size来帮助处理梯度累积的情况。在每个时期,它都会洗牌批次索引。
import numpy as np
batch_size = 8
nminibatches = 2
gradient_accumulation_steps = 2
mini_batch_size = batch_size // nminibatches
micro_batch_size = mini_batch_size // gradient_accumulation_steps
data = np.arange(batch_size).astype(np.float32)
print("data:", data)
print("batch_size:", batch_size)
print("mini_batch_size:", mini_batch_size)
print("micro_batch_size:", micro_batch_size)
for epoch in range(4):
batch_inds = np.random.permutation(batch_size)
print("epoch:", epoch, "batch_inds:", batch_inds)
for mini_batch_start in range(0, batch_size, mini_batch_size):
mini_batch_end = mini_batch_start + mini_batch_size
mini_batch_inds = batch_inds[mini_batch_start:mini_batch_end]
# `optimizer.zero_grad()` set optimizer to zero for gradient accumulation
for micro_batch_start in range(0, mini_batch_size, micro_batch_size):
micro_batch_end = micro_batch_start + micro_batch_size
micro_batch_inds = mini_batch_inds[micro_batch_start:micro_batch_end]
print("____⏩ a forward pass on", data[micro_batch_inds])
# `optimizer.step()`
print("⏪ a backward pass on", data[mini_batch_inds])
# data: [0. 1. 2. 3. 4. 5. 6. 7.]
# batch_size: 8
# mini_batch_size: 4
# micro_batch_size: 2
# epoch: 0 batch_inds: [6 4 0 7 3 5 1 2]
# ____⏩ a forward pass on [6. 4.]
# ____⏩ a forward pass on [0. 7.]
# ⏪ a backward pass on [6. 4. 0. 7.]
# ____⏩ a forward pass on [3. 5.]
# ____⏩ a forward pass on [1. 2.]
# ⏪ a backward pass on [3. 5. 1. 2.]
# epoch: 1 batch_inds: [6 7 3 2 0 4 5 1]
# ____⏩ a forward pass on [6. 7.]
# ____⏩ a forward pass on [3. 2.]
# ⏪ a backward pass on [6. 7. 3. 2.]
# ____⏩ a forward pass on [0. 4.]
# ____⏩ a forward pass on [5. 1.]
# ⏪ a backward pass on [0. 4. 5. 1.]
# epoch: 2 batch_inds: [1 4 5 6 0 7 3 2]
# ____⏩ a forward pass on [1. 4.]
# ____⏩ a forward pass on [5. 6.]
# ⏪ a backward pass on [1. 4. 5. 6.]
# ____⏩ a forward pass on [0. 7.]
# ____⏩ a forward pass on [3. 2.]
# ⏪ a backward pass on [0. 7. 3. 2.]
# epoch: 3 batch_inds: [7 2 4 1 3 0 6 5]
# ____⏩ a forward pass on [7. 2.]
# ____⏩ a forward pass on [4. 1.]
# ⏪ a backward pass on [7. 2. 4. 1.]
# ____⏩ a forward pass on [3. 0.]
# ____⏩ a forward pass on [6. 5.]
# ⏪ a backward pass on [3. 0. 6. 5.]
- 基于每个标记的 KL 惩罚
- 代码为奖励添加了每个标记的 KL 惩罚 (lm_human_preferences/train_policy.py#L150-L153),以阻止策略与原始策略差异过大。
- 以 “usually, he would” 为例,它被标记化为
[23073, 11, 339, 561]。假设我们使用[23073]作为查询,[11, 339, 561]作为响应。然后在默认的gpt2参数下,响应标记将具有参考策略的对数概率logprobs=[-3.3213, -4.9980, -3.8690]。
- 在第一个 PPO 更新时期和小批次更新时,激活策略将具有相同的对数概率
new_logprobs=[-3.3213, -4.9980, -3.8690]。因此,每个标记的 KL 惩罚将为kl = new_logprobs - logprobs = [0., 0., 0.]。
- 但是,在第一个梯度反向传播后,我们可能会得到
new_logprob=[3.3213, -4.9980, -3.8690],因此每个标记的 KL 惩罚变为kl = new_logprobs - logprobs = [-0.3315, -0.0426, 0.6351]。
- 随后,
non_score_reward = beta * kl,其中beta是 KL 惩罚系数 ����,它被添加到从奖励模型获得的score中,以创建用于训练的rewards。score仅在每个回合 ( episode ) 结束时给出,可能类似于[0.4],然后我们有rewards = [beta * -0.3315, beta * -0.0426, beta * 0.6351 + 0.4]。
- 每个小批次的奖励和优势白化,可选择均值平移
- OAI 实现了一个名为
whiten的函数,如下所示,基本上通过减去其均值然后除以其标准差来对values进行归一化。可选地,whiten可以通过shift_mean=True将白化后的values平移到均值。
def whiten(values, shift_mean=True):
mean, var = torch.mean(values), torch.var(values, unbiased=False)
whitened = (values - mean)* torch.rsqrt(var + 1e-8)
if not shift_mean:
whitened += mean
return whitened
- 在每个小批次中,OAI 使用
whiten(rewards, shift_mean=False)对奖励进行白化,不对均值进行平移处理 (lm_human_preferences/train_policy.py#L325),并使用平移后的均值对优势进行白化whiten(advantages)(lm_human_preferences/train_policy.py#L338)。
- 优化注意事项: 如果小批次的数量为一 (在此复现中是这种情况),我们只需要对奖励进行白化、计算并对优势进行一次白化,因为它们的值不会改变。
- TensorFlow vs PyTorch 注意事项:
tf.moments与torch.var的不同行为: 由于方差计算方式不同,Torch 和 TensorFlow 中的白化行为不同:
import numpy as np
import tensorflow as tf
import torch
def whiten_tf(values, shift_mean=True):
mean, var = tf.nn.moments(values, axes=list(range(values.shape.rank)))
mean = tf.Print(mean, [mean], 'mean', summarize=100)
var = tf.Print(var, [var], 'var', summarize=100)
whitened = (values - mean)* tf.rsqrt(var + 1e-8)
if not shift_mean:
whitened += mean
return whitened
def whiten_pt(values, shift_mean=True, unbiased=True):
mean, var = torch.mean(values), torch.var(values, unbiased=unbiased)
print("mean", mean)
print("var", var)
whitened = (values - mean)* torch.rsqrt(var + 1e-8)
if not shift_mean:
whitened += mean
return whitened
rewards = np.array([
[1.2, 1.3, 1.4],
[1.5, 1.6, 1.7],
[1.8, 1.9, 2.0],
])
with tf.Session() as sess:
print(sess.run(whiten_tf(tf.constant(rewards, dtype=tf.float32), shift_mean=False)))
print(whiten_pt(torch.tensor(rewards), shift_mean=False, unbiased=True))
print(whiten_pt(torch.tensor(rewards), shift_mean=False, unbiased=False))
- 裁剪值函数
- 与原始的 PPO 一样 (baselines/ppo2/model.py#L68-L75),值函数被裁剪 (lm_human_preferences/train_policy.py#L343-L348),方式与策略目标类似。
- 自适应 KL 散度
- KL 散度惩罚系数 � 根据当前策略与先前策略之间的 KL 散度自适应修改。如果 KL 散度超出预定的目标范围,则调整惩罚系数以使其更接近目标范围 (lm_human_preferences/train_policy.py#L115-L124)。它的实现如下:
class AdaptiveKLController:
def __init__(self, init_kl_coef, hparams):
self.value = init_kl_coef
self.hparams = hparams
def update(self, current, n_steps):
target = self.hparams.target
proportional_error = np.clip(current / target - 1, -0.2, 0.2)
mult = 1 + proportional_error * n_steps / self.hparams.horizon
self.value *= mult
- 对于本工作中研究的
sentiment和descriptiveness任务,我们使用了init_kl_coef=0.15, hparams.target=6, hparams.horizon=10000。
PyTorch Adam 优化器与 RLHF 相关的数值问题
- 这个实现细节非常有趣,值得专门一节来讨论。
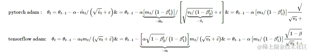
- PyTorch 的 Adam 优化器 (torch.optim.Adam.html) 与 TensorFlow 的 Adam 优化器 (TF1 Adam 在 tensorflow/v1.15.2/adam.py,TF2 Adam 在 keras/adam.py#L26-L220) 有不同的实现方式。具体来说, PyTorch 遵循了 Kingma 和 Ba 的 Adam 论文中的算法 1 (arxiv/1412.6980),而 TensorFlow 使用了该论文第 2.1 节前的公式,这里提到的
epsilon在论文中称为epsilon hat。在伪代码比较中,我们有以下内容:
### pytorch adam implementation:
bias_correction1 = 1 - beta1 ** step
bias_correction2 = 1 - beta2 ** step
step_size = lr / bias_correction1
bias_correction2_sqrt = _dispatch_sqrt(bias_correction2)
denom = (exp_avg_sq.sqrt() / bias_correction2_sqrt).add_(eps)
param.addcdiv_(exp_avg, denom, value=-step_size)
### tensorflow adam implementation:
lr_t = lr * _dispatch_sqrt((1 - beta2 ** step)) / (1 - beta1 ** step)
denom = exp_avg_sq.sqrt().add_(eps)
param.addcdiv_(exp_avg, denom, value=-lr_t)
让我们比较一下 PyTorch 风格和 TensorFlow 风格 Adam 的更新方程。按照 Adam 论文 (Kingma 和 Ba,2014) 的符号表示,我们可以得到 PyTorch Adam (Kingma 和 Ba 论文的算法 1) 和 TensorFlow 风格 Adam (Kingma 和 Ba 论文第 2.1 节前的公式) 的梯度更新规则如下:
- 上面的方程强调了 PyTorch 和 TensorFlow 实现之间的区别在于它们的 归一化项,即 �1−�2� 和 �^。如果我们设置 �^=�1−�2�,则这两个版本是等价的。然而,在 PyTorch 和 TensorFlow 的 API 中,我们只能通过
eps参数设置 � (PyTorch) 和 �^ (TensorFlow),从而导致它们的更新方程存在差异。如果我们将 � 和 �^ 都设置为相同的值,比如 1e-5 会发生什么?那么对于 TensorFlow Adam,归一化项 �^=1e-5 就是一个常数。但对于 PyTorch Adam,归一化项 �1−�2� 随着时间的推移而变化。重要的是,当时间步 � 较小时,该项 �1−�2� 明显小于 1e-5,随着时间步增加,逐渐接近 1e-5。下面的图表比较了这两个归一化项随着时间步的变化情况:
- 上图显示,如果我们在 PyTorch Adam 和 TensorFlow Adam 中设置相同的
eps,那么在训练的早期阶段,PyTorch Adam 使用的归一化项要比 TensorFlow Adam 小得多。换句话说,PyTorch Adam 在训练的早期采用了 更激进的梯度更新。我们的实验证明了这一发现,如下所示。
- 这对复现性和性能有何影响?为了保持设置一致,我们记录了来自 github.com/openai/lm-h… 的原始查询、响应和奖励,并将它们保存在 huggingface.co/datasets/vw… 中。我还记录了使用 TF1 的
AdamOptimizer优化器的前两个训练周期的指标作为基准。以下是一些关键指标:
- 由于某种原因, PyTorch 的 Adam 生成了更激进的更新。以下是一些证据:
- PyTorch 的 Adam 的 logprob_diff_var 高出 6 倍。这里的
logprobs_diff = new_logprobs - logprobs是经过两个训练周期后,初始策略和当前策略之间的标记对数概率差异。具有更大的logprob_diff_var意味着对数概率变化的幅度比 OAI 的 TF1 Adam 大。
- PyTorch 的 Adam 呈现更极端的最大和最小比率。这里的
ratio = torch.exp(logprobs_diff)。具有ratio_max=1.8121057748794556意味着对于某些标记,在当前策略下抽取该标记的概率要比 OAI 的 TF1 Adam 高 1.8 倍,而后者仅为 1.2 倍。
- 更大的
policy/approxkl和policy/clipfrac。由于激进的更新,比率被剪切的次数 多 4.4 倍,近似的 KL 散度大 6 倍。
- 这种激进的更新可能会导致进一步的问题。例如,PyTorch 的
Adam中的logprob_diff_mean要大 1.7 倍,这将对下一个奖励计算中的 KL 惩罚产生 1.7 倍大的影响; 这可能会被累积。实际上,这可能与著名的 KL 散度问题有关—— KL 惩罚远大于它应该的值,模型可能会更多地关注它并进行更多优化,从而导致负的 KL 散度。
- 更大的模型受到更多影响。我们进行了一些实验,比较了 PyTorch 的
Adam(代号pt_adam) 和我们自定义的类似 TensorFlow 风格的 Adam (代号tf_adam) 在gpt2和gpt2-xl上的性能。我们发现在gpt2下性能大致相似; 但是在gpt2-xl下,我们观察到了更激进的更新,这意味着更大的模型受到了更多的影响。
- 当在
gpt2-xl中初始策略更新更为激进时,训练动态会受到影响。例如,我们发现使用pt_adam时,sentiment的objective/kl和objective/scores峰值要大得多, 在其中一个随机种子中,最大的 KL 值达到了 17.5 ,这表明了不希望的过度优化。
- 此外,由于 KL 更大,许多其他训练指标也受到影响。例如,我们观察到更大的
clipfrac(ratio被 PPO 的目标裁剪系数 0.2 裁剪的时间比例) 和approxkl。
局限性
注意到这项工作没有尝试复现 CNN DM 中的摘要工作。这是因为我们发现训练耗时且不稳定。
我们的特定训练运行显示 GPU 利用率较低 (约 30%),因此一个训练运行需要近 4 天的时间,这非常昂贵 (只有 AWS 销售 p3dn.24xlarge,每小时费用为 31.212 美元)。
此外,训练也很不稳定。虽然奖励值上升,但我们发现难以复现 Ziegler 等人 (2019 年) 报告的“智能复制”行为。以下是一些样本输出 — 显然,智能体出现了某种程度的过拟合。请查看 wandb.ai/openrlbench… 以获取更完整的日志。
总结
在这项工作中,我们深入研究了 OpenAI 的原始 RLHF (Reinforcement Learning from Human Feedback) 代码库,并编制了其实施细节的列表。我们还创建了一个最小的基础版本,当数据集和超参数受控制时,可以复现与 OpenAI 原始 RLHF 代码库相同的学习曲线。此外,我们还识别了一些令人惊讶的实施细节,比如 Adam 优化器的设置,它会导致在 RLHF 训练的早期出现激进的更新。
文章转载自:HuggingFace