【二叉树】day29_102. 二叉树的层序遍历

76 阅读1分钟

给你二叉树的根节点 root ,返回其节点值的 层序遍历 。 (即逐层地,从左到右访问所有节点)。

示例 1:

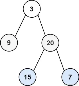
输入: root = [3,9,20,null,null,15,7]
输出: [[3],[9,20],[15,7]]

示例 2:

输入: root = [1]
输出: [[1]]

示例 3:

输入: root = []
输出: []

提示:

  • 树中节点数目在范围 [0, 2000] 内
  • -1000 <= Node.val <= 1000

题解:

思路:广度优先搜索(BFS)

广度优先搜索(BFS)、深度优先搜索(DFS)就像孪生兄弟,都可以实现遍历二叉树,我们更倾向于使用更方便写、空间复杂度更低的DFS。但不是所有情况都适用于使用DFS,此题适用于BFS,一层一层去遍历节点。

时间复杂度:O(n)

空间复杂度:O(n)

/**
 * Definition for a binary tree node.
 * public class TreeNode {
 *     int val;
 *     TreeNode left;
 *     TreeNode right;
 *     TreeNode() {}
 *     TreeNode(int val) { this.val = val; }
 *     TreeNode(int val, TreeNode left, TreeNode right) {
 *         this.val = val;
 *         this.left = left;
 *         this.right = right;
 *     }
 * }
 */
class Solution {
    public List<List<Integer>> levelOrder(TreeNode root) {
        List<List<Integer>> res = new ArrayList<>();
        
        if(root == null){
            return res;
        }

        Queue<TreeNode> q = new ArrayDeque<>();
        q.add(root);

        List<Integer> list = null;
        while(!q.isEmpty()){
            // 记录当前层节点数量
            int size = q.size();
            list = new ArrayList<>(); 
            for(int i = 0 ; i < size; i++){
                TreeNode node = q.poll();
                list.add(node.val);

                if(node.left != null){
                    q.add(node.left);
                }

                if(node.right != null){
                    q.add(node.right);
                }
            }
            res.add(list);
        }

        return res;
    }
}