【二叉树】day28_101. 对称二叉树

42 阅读1分钟

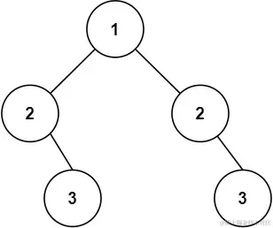
给你一个二叉树的根节点 root , 检查它是否轴对称。

示例 1:

输入: root = [1,2,2,3,4,4,3]
输出: true

示例 2:

输入: root = [1,2,2,null,3,null,3]
输出: false

提示:

  • 树中节点数目在范围 [1, 1000] 内
  • -100 <= Node.val <= 100

进阶: 你可以运用递归和迭代两种方法解决这个问题吗?

题解:

思路:递归

时间复杂度:O(n)

空间复杂度:O(n)

/**
 * Definition for a binary tree node.
 * public class TreeNode {
 *     int val;
 *     TreeNode left;
 *     TreeNode right;
 *     TreeNode() {}
 *     TreeNode(int val) { this.val = val; }
 *     TreeNode(int val, TreeNode left, TreeNode right) {
 *         this.val = val;
 *         this.left = left;
 *         this.right = right;
 *     }
 * }
 */
class Solution {
    public boolean isSymmetric(TreeNode root) {
        if(root == null)  return true;
        return isTrue(root.left,root.right);
    }

    public boolean isTrue(TreeNode p,TreeNode q){
        if(p == null && q == null) {
            return true;
        }
        if(p == null || q == null) {
            return false;
        }
        if(p.val != q.val) {
            return false;
        }
        return isTrue(p.left,q.right) && isTrue(p.right,q.left);
    }
}