141. 环形链表

76 阅读1分钟

141. 环形链表

给你一个链表的头节点 head ,判断链表中是否有环。如果链表中有某个节点,可以通过连续跟踪 next 指针再次到达,则链表中存在环。 为了表示给定链表中的环,评测系统内部使用整数 pos 来表示链表尾连接到链表中的位置(索引从 0 开始)。注意:pos 不作为参数进行传递 。仅仅是为了标识链表的实际情况。如果链表中存在环 ,则返回 true 。 否则,返回 false 。

示例 1:

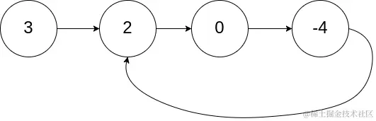
输入: head = [3,2,0,-4], pos = 1
输出: true
解释: 链表中有一个环,其尾部连接到第二个节点。

示例 2:

输入: head = [1,2], pos = 0
输出: true
解释: 链表中有一个环,其尾部连接到第一个节点。

示例 3:

输入: head = [1], pos = -1
输出: false
解释: 链表中没有环。

 

提示:

  • 链表中节点的数目范围是 [0, 104]
  • -105 <= Node.val <= 105
  • pos 为 -1 或者链表中的一个 有效索引 。

 

进阶: 你能用 O(1)(即,常量)内存解决此问题吗?

代码

# Definition for singly-linked list.
# class ListNode:
#     def __init__(self, x):
#         self.val = x
#         self.next = None
def hasCycle(head):   
    # 快慢指针,有环迟早会相遇
    slow = fast = head
    while fast and fast.next:
        slow = slow.next
        fast = fast.next.next
        if slow == fast:
            return True
    return False