206. 反转链表

63 阅读1分钟

206. 反转链表

给你单链表的头节点 head ,请你反转链表,并返回反转后的链表。

示例 1:

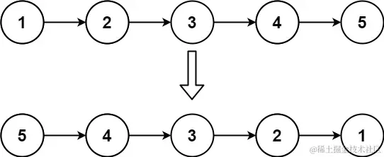
输入: head = [1,2,3,4,5]
输出: [5,4,3,2,1]

示例 2:

输入: head = [1,2]
输出: [2,1]

示例 3:

输入: head = []
输出: []

 

提示:

  • 链表中节点的数目范围是 [0, 5000]
  • -5000 <= Node.val <= 5000

 

进阶: 链表可以选用迭代或递归方式完成反转。你能否用两种方法解决这道题?

代码

# Definition for singly-linked list.
# class ListNode:
#     def __init__(self, val=0, next=None):
#         self.val = val
#         self.next = next
def reverseList(head) :
    #借助三个指针pre、cur、nxt
    pre = None
    cur = head
    while cur:
        nxt = cur.next
        cur.next = pre
        pre = cur
        cur = nxt
    return pre