【二叉树】day27_94. 二叉树的中序遍历

42 阅读1分钟

给定一个二叉树的根节点 root ,返回 它的 中序 遍历 。

示例 1:

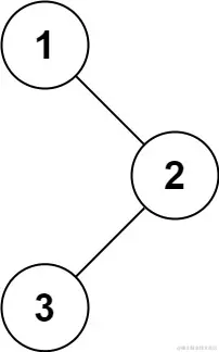
输入: root = [1,null,2,3]
输出: [1,3,2]

示例 2:

输入: root = []
输出: []

示例 3:

输入: root = [1]
输出: [1]

提示:

  • 树中节点数目在范围 [0, 100] 内
  • -100 <= Node.val <= 100

进阶: 递归算法很简单,你可以通过迭代算法完成吗?

题解:

思路:递归

时间复杂度:O(n)

空间复杂度:O(n)

/**
 * Definition for a binary tree node.
 * public class TreeNode {
 *     int val;
 *     TreeNode left;
 *     TreeNode right;
 *     TreeNode() {}
 *     TreeNode(int val) { this.val = val; }
 *     TreeNode(int val, TreeNode left, TreeNode right) {
 *         this.val = val;
 *         this.left = left;
 *         this.right = right;
 *     }
 * }
 */
class Solution {
    public List<Integer> inorderTraversal(TreeNode root) {
        List<Integer> list = new ArrayList<>();
        forEach(list, root);
        return list;
    }

    public void forEach(List<Integer> list, TreeNode node){
        if(node == null){
            return;
        }
        forEach(list, node.left);
        list.add(node.val);
        forEach(list, node.right);
    }
}