解密Prompt系列19. LLM Agent之数据分析领域的应用:Data-Copilot & InsightPilot

840 阅读12分钟

在之前的 LLM Agent+DB 的章节我们已经谈论过如何使用大模型接入数据库并获取数据,这一章我们聊聊大模型代理在数据分析领域的应用。数据分析主要是指在获取数据之后的数据清洗数据处理数据建模数据洞察数据可视化的步骤。可以为经常和数据打交道,但是并不需要太过艰深的数据分析能力的同学提供日常工作的支持,已看到很多 BI 平台在尝试类似的方案。这里我们聊两篇论文:Data-Copilot 和 InsightPilot, 主要参考一些有意思的思路~

数据分析:Data-Copilot

先介绍下浙大提出的已扩展的数据分析框架,支持多种金融数据类型的查询,数据处理,简单建模,和数据可视化。Data-copilot 以金融领域的数据分析为例,提供了一套可以简单基于已有数据进行扩展生成的数据分析框架。

整个框架分成两个部分,基于大模型的 API 生成基于生成 API 的 llm 任务规划和执行。其实说复杂也不复杂,数据分析任务里面几个核心的要素就是

  • 分析啥:提问的实体,股票?债券?基金经理?
  • 分析哪段时间:数据的覆盖范围,一季度?今年?
  • 用什么指标:股票的收益率?债券利率?基金净值?
  • 如何分析:收益对比?价格涨跌?排名?
  • 如何输出:绘图?表格?文本?

API生成

设计部分其实是使用大模型来构建更符合上下文语义的 API 调用语句,以及 API 的输入输出。这部分代码并未开源......所以我们只依据论文和脑补做简单介绍。主要分成以下四个步骤

1. 生成更多的用户请求

API 的生成需要基于用户会问什么样的问题。而用户的提问又是基于你有什么样的数据。因此这里使用数据描述和人工编写的种子提问作为上文,让 LLM 生成更多的用户提问。

2. 生成 API 调用语句

把以上生成的所有用户提问,一个个输入模型,使用以下 prompt 指令引导 llm 生成完成一个数据分析任务,所需的多个步骤,以及每个步骤对应的API 描述和伪代码"Interface1={Interface Name: %s, Function description:%s, Input and Output:%s}"

3. 合并相似的 API 调用

每得到一个新的 API function,都会和已生成的 API function 配对后输入模型,并使用以下指令让大模型判断两个 function 是否功能相似可以合并为一个新的 API。例如把查询 GDP 的 API 和查询 CPI 的 API 合并为查询 GDP_CPI 的 API。不过个人感觉这个方案时间和 token 开销颇大,可能比较适合 online API 的在线构建,在离线构建时先基于 API 的描述进行聚类,然后每个 cluster 进行合并可能更经济实惠?

4. 为每个 API 生成对应代码

最后针对合并后的 API,使用大模型进行代码生成。这里使用了 pandas DataFrame 作为数据处理,数据绘图的数据交互格式。这里论文把工具调用分成了 5 个大类:数据获取,数据处理,合并切片,建模和可视化。

看完以上整个 API 构建流程,不难发现使用 llm 来自动生成 API 有以下几个好处(不过估计完全自动化难度不小......)

  • 节省人力
  • 和 APE 的思路类似,大模型生成的指令更符合模型生成偏好,API 同理
  • 当前是离线批量生成,如果可以优化为 online 的 API 生成的话,可以使得 API 具有动态可扩展性

API调用

获得 API 之后,就是如何排列组合规划 API 的执行来回答用户的提问/完成用户的任务。这里的任务流同样拆成了多个步骤:

意图识别

第一步是意图识别,这里其实融合了搜索中 query 预处理的几个功能:

  • 意图识别用于缩小问题范围提高后面 API 调用的准确率
  • 时效性模块基于今天的日期和用户提问,生成问题对应的具体时间范围(包括时间范围标准化)
  • 实体模块用于定位问题的核心实体
  • 输出形式的判别是绘图、表格还是文本输出

论文把以上多个模块融合成了基于 few-shot 的大模型改写任务,会把用户的提问改写成一个新的具有明确时间区间,任务类型更加明确的文本,与其说是意图识别,其实更像 query 改写。如下

个人感觉意图这里完全可以不基于大模型,或者可以用大模型造样本再蒸馏到小模型上。以及整个意图识别的模块可以拆分成多个独立且粒度更细的模块,在金融领域至少可以拆分成大类资产实体的抽取对齐,针对不同资产类型的不同问题意图的识别,以及独立的时效性生成/判别模块。意图模块直接影响后面的行为规划,需要准确率和执行成功率都足够高。

行为规划

行为规划模块包含两个步骤,第一步是任务拆解,以上改写后的 query 会作为输入,输入任务拆解模块。同样是基于 few-shot 的大模型指令任务,把任务拆分成多个执行步骤,每个步骤包括任务类型。

这里作者定义了 stock_task、fund_task、economic_task, visualization_task、financial_task 这 5 种任务,任务拆解类似 COT 把一个任务拆分成多个执行步骤,但本质上还是为了缩小 API的调用范围。指令如下

基于以上任务选择模块每个步骤的任务类型,例如 stock_task,会有不同的 few-shot prompt 来指导模型针对该任务类型,生成多步的 API 调用,包括每一步调用的 API,输入,输出和返回值。行为规划部分通用指令如下

行为规划中一个有意思的点,是论文构建的API中包含三种不同的执行方式,串行操作常规单个输入单个输出,并行操作获取一个证券的多个指标数据,以及循环操作,类似 map 对多个输入执行相同的操作。以下是Data-Copilot的Demo

数据洞察:InsightPilot

  • paper:Demonstration of InsightPilot: An LLM-EmpoweredAutomated Data Exploration System
  • 相关 paper:QuickInsights: Quick and Automatic Discovery of Insights fromMulti-Dimensional Data
  • 相关 paper:MetaInsight: Automatic Discovery of Structured Knowledge forExploratory Data Analysis
  • 相关 paper:XInsight: eXplainable Data Analysis Through The Lens ofCausality
  • www.msra.cn/zh-cn/news/…

InsightPilot与其说是一篇 paper,更像是一份微软 BI 的产品白皮书。主打 EDA 数据洞察,和上面的 Data-copilot 拼在一起,也算是把数据分析最基础工作涵盖了。举个数据洞察的栗子,最早在 UG 用户增长部门工作时,每次 APP 活跃用户下降了,数据分析组收到的任务就是赶紧去分析活跃用户数据,看看到底用户为啥流失了,是被竞品抢走了,是最近上了什么新功能用户不喜欢,还是之前活动拉来的用户质量不高留存较少,基于这些数据洞察,好制定下一步挽留流式用户,激活沉默用户的具体方案。

那如何发现数据中的异常点?一个基础的操作就是对数据进行不同维度的拆分对比。例如把活跃用户分成男女,老幼,不同城市,不同机型,渠道来源,不同阅读偏好等等维度,观察不同 subgroup 的用户他们的活跃是否发生下降,下降比例是否相同,是否有某个维度的用户组流失最显著。这个维度拆分可以是平行维度,也可以是下钻维度,对比方式可以是一阶变化趋势对比,也可以是波动率等二阶趋势的对比等等

微软的实现方案其实是使用 LLM 把之前微软已经开发应用到 BI 的三款数据洞察工具进行了组合串联,这三款数据洞察工具分别是 QuickInsight,MetaInsight和XInsight。我们先简单介绍下这三款工具,再看大模型要如何对数据分析工具进行组合串联。

Insights 们

QuickInsight

QuickInisght 是最早也是功能最基础的数据分析工具,它能快速发现多维数据中的 pattern。它的洞察数据单元由三个要素组成subject ≔ {𝑠𝑢𝑏𝑠𝑝𝑎𝑐𝑒(𝑠)数据空间, 𝑏𝑟𝑒𝑎𝑘𝑑𝑜𝑤𝑛 拆分维度, 𝑚𝑒𝑎𝑠𝑢𝑟𝑒(𝑠)观察指标}, 以下是{Los Angeles,Month,Sales}产生的数据洞察

QuickInsight,会先按不同维度,计算不同指标得到多组数据。洞察部分则是预定了 12 种不同的数据分析方式,例如异常值,突变点,趋势,季节性,相关性等等。每种洞察类型会基于显著性和贡献度进行综合打分,排名靠前的应该是单维度数据变化最显著,且对整体影响较大的。

MetaInsight

QuickInsight的洞察主要基于单个洞察数据单元进行,MetaInsight可以聚合关联多个洞察数据单元,产出更复杂,高级的数据洞察。简单来说是在以上三元组数据洞察的基础上,搜索不同的subsapce,以及measure,寻找具有相似数据洞察的三元组,并进行组合分析。继续以上洛杉矶销量数据的洞察,当我们扩展subspace到其他城市的销售数据时,MetaInsight会产出以下关联分析。

XInsight

以上QuickInsight和MetaInsight都还停留在相关性数据分析的领域,而XInsight着眼在因果性分析,也算是前两年很火的因果推断方向。也就是我们不仅想知道手机里同时有快手和抖音APP的用户,使用抖音的时间较短,还想知道到底是快手APP抢夺了用户的时间,还是这部分用户群体本身就属于东看看西看看没有固定偏好的群体。但真实世界中很难找到完全符合假设的因果推断,因为哈哈没有平行世界呀,因此只能通过一些控制变量,和数学建模的方案来近似模拟因果场景。感兴趣的同学可以看过来因果推断的春天

以下的案例中,同样是按月份维度进行拆分,航班延误时间作为指标。当在整个数据上进行洞察时会发现5月的延误时间比11月高了很多,但当控制变量当日是否下雨时,会发现在下雨天5月的航班延误时间是要低于11月的,因此5月份更高的降雨率可能可以解释5月更高的航班延误时间。

LLM Pipeline

InsightPilot就是基于以上三个数据分析引擎,使用大模型进行串联,来完成用户的数据洞察需求。还是那个观点,LLM+Agent的组合中,真正重要的是Agent,LLM只是负责基于上下文语义来选择最合适的Agent,并基于Agent的返回内容来决定下一步的操作,说白了就是串场子的,当然最后也需要LLM来生成数据分析报告。

这里大模型主要负责:初始化->洞察选择->意图选择->洞察选择->意图选择....->报告生成

  1. 初始化任务:会先调用QuickInsight生成数据集的基础洞察,然后使用Prompt,让LLM基于Agent返回的多条数据洞察,用户Query,和数据集的描述(类似DB Schema),来选择一条洞察结果来进一步分析。
  2. 意图选择任务:如何分析以上洞察,这里分了三个意图,分别对应以上的3个Agent,Understand-QuickInsight, Summarize-MetaInsight, Explain-XInsight。大模型会基于用户query,以上选择的洞察内容,来选择一个Agent来继续分析
  3. 洞察选择:基于Agent新产生的多个数据洞察,如果LLM判断无法回答用户问题,则会选择一个洞察继续分析
  4. 报告生成:最后基于TopK数据洞察生成报告来解答用户问题

在最后筛选保留Top-K洞察的部分,论文还加入了Ranking环节,说是排序但看实现上,更像是消重+相似度过滤+打散。

  1. 首先洞察之间两两消重,如果A洞察包含B洞察的内容,则删除B洞察
  2. 其次是相似度过滤,会过滤和用户提问关联较低的洞察。不过这里其实有些存疑,因为洞察存在维度下钻和多维度对比,似乎感觉相似度不太合适作为过滤标准。
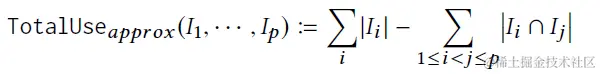
  3. 最后是打散策略,是为了降低洞察之间的相似度,提高最终内容的丰富度。这里使用了以下的二阶近似打分的策略如下,其中|I|是每条洞察的有用性打分,交集打分是两条洞察有用性的最小值*洞察重叠度,整体策略是为了提高TopK洞察整体包含的信息量

最终是InsightPilot生成的报告效果,以及支持用户对报告内容的每个段落,进行数据验证,当点击第一个段落Inspire Me时会生成对应段落相关的数据图表(右图)。老实说只看这个Demo,效果有些惊艳,不过真正厉害的是上面的三个洞察引擎,LLM只是大自然的搬运工和文案工作者。

想看更全的大模型相关论文梳理·微调及预训练数据和框架·AIGC应用,移步Github >> DecryPrompt