【精选】Node.js笔记总结(day2)-CSDN博客

117 阅读16分钟

文章目录

Node第二天

今日目标
  • 能够使用 http 模块写一个基本的 web 服务器
  • 能够说出模块化的好处
  • 能够知道 CommonJS 规定了哪些内容
  • 能够说出 Node.js 中模块的三大分类各自是什么
  • 能够使用 npm 管理包
1. http模块
1.1 什么是 http 模块

回顾:什么是客户端、什么是服务器?

在网络节点中,负责消费资源的电脑,叫做客户端;负责对外提供网络资源的电脑,叫做服务器。

http 模块是 Node.js 官方提供的、用来创建 web 服务器的模块。通过 http 模块提供的 http.createServer() 方法,就 能方便的把一台普通的电脑,变成一台 Web 服务器,从而对外提供 Web 资源服务。

如果要希望使用 http 模块创建 Web 服务器,则需要先导入它:

const http = requie('http')
1.2 进一步理解 http 模块的作用

服务器和普通电脑的区别在于,服务器上安装了 web 服务器软件,例如:IIS、Apache 等。通过安装这些服务器软件, 就能把一台普通的电脑变成一台 web 服务器。

在 Node.js 中,我们不需要使用 IIS、Apache 等这些第三方 web 服务器软件。因为我们可以基于 Node.js 提供的 http 模块,通过几行简单的代码,就能轻松的手写一个服务器软件,从而对外提供 web 服务。

1.3 服务器相关的概念
  • IP地址

    ​ IP 地址就是互联网上每台计算机的唯一地址,因此 IP 地址具有唯一性。如果把“个人电脑”比作“一台电话”,那么“IP地 址”就相当于“电话号码”,只有在知道对方 IP 地址的前提下,才能与对应的电脑之间进行数据通信。

    ​ IP 地址的格式:通常用“点分十进制”表示成(a.b.c.d)的形式,其中,a,b,c,d 都是 0~255 之间的十进制整数。例如:用 点分十进表示的 IP地址(192.168.1.1)

    注意:

    ​ 1、互联网中每台 Web 服务器,都有自己的 IP 地址,例如:大家可以在 Windows 的终端中运行ping www.baidu.com命 令,即可查看到百度服务器的 IP 地址。

    ​ 2、在开发期间,自己的电脑既是一台服务器,也是一个客户端,为了方便测试,可以在自己的浏览器中输入 127.0.0.1 这个 IP 地址,就能把自己的电脑当做一台服务器进行访问了。

  • 域名和域名服务器

    ​ 尽管 IP 地址能够唯一地标记网络上的计算机,但IP地址是一长串数字,不直观,而且不便于记忆,于是人们又发明了另一套字符型的地址方案,即所谓的域名(Domain Name)地址。

    ​ IP地址和域名是一一对应的关系,这份对应关系存放在一种叫做域名服务器(DNS,Domain name server)的电脑中。使用者 只需通过好记的域名访问对应的服务器即可,对应的转换工作由域名服务器实现。因此,域名服务器就是提供 IP 地址和域名 之间的转换服务的服务器。

    注意:

    1、单纯使用 IP 地址,互联网中的电脑也能够正常工作。但是有了域名的加持,能让互联网的世界变得更加方便。

    2、在开发测试期间, 127.0.0.1 对应的域名是 localhost,它们都代表我们自己的这台电脑,在使用效果上没有任何区别。

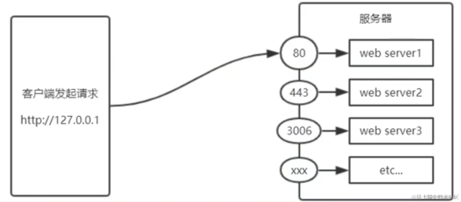
  • 端口号

    ​ 计算机中的端口号,就好像是现实生活中的门牌号一样。通过门牌号,外卖小哥可以在整栋大楼众多的房间中,准确把外卖 送到你的手中。

    ​ 同样的道理,在一台电脑中,可以运行成百上千个 web 服务。每个 web 服务都对应一个唯一的端口号。客户端发送过来的 网络请求,通过端口号,可以被准确地交给对应的 web 服务进行处理。

在这里插入图片描述

注意:

​ 1、 每个端口号不能同时被多个 web 服务占用

​ 2、 在实际应用中,URL 中的 80 端口可以被省略

1.4 使用node创建基本web服务器
  • 创建 web 服务器的基本步骤

    1、导入http模块

    2、创建 web 服务器实例

    3、为服务器实例绑定 request 事件,监听客户端的请求

    4、启动服务器

    • 步骤一:导入 http 模块

      const http = require('http')
      
    • 步骤二:创建 web 服务器实例

      // 调用 http.createServer() 方法,即可快速创建一个 web 服务器实例
      
      const server = http.createServer()
      
    • 步骤三:为服务器实例绑定 request 事件

      为服务器实例绑定 request 事件,即可监听客户端发送过来的网络请求:

      // 为服务器实例绑定 request 事件,即可监听客户端发送过来的网络请求
      
      // 使用服务器实例的 .on() 方法,为服务器绑定一个 request 事件
      server.on('request', (req, res) => {
        // 只要有客户端来请求我们自己的服务器,就会被触发 request 事件,从而调用这个事件处理程序
        console.log('访问服务器成功')
      })
      
    • 步骤四:启动服务器

      调用服务器实例的 .listen() 方法,即可启动当前的 web 服务器实例:

      // 调用服务器实例的 .listen() 方法,即可启动当前的 web 服务器实例
      
      server.listen(80, () => {
          console.log('running……')
      })
      
      • 总结

        // 1. 导入 http 模块
        const http = require('http')
        
        // 2. 创建 web 服务器实例
        const server = http.createServer()
        
        // 3. 为服务器实例绑定 request 事件,监听客户端的请求
        server.on('request', function (req, res) {
          console.log('访问服务器成功')
        })
        
        // 4. 启动服务器
        server.listen(8080, function () {  
          console.log('running……')
        })
        
  • req 请求对象

    只要服务器接收到了客户端的请求,就会调用通过 server.on() 为服务器绑定的 request 事件处理函数。

    如果想在事件处理函数中,访问与客户端相关的数据属性,可以使用如下的方式:

    server.on("request", (req) => {
      // req 是请求对象,它包含了与客户端相关的数据和属性
      // req.url 获取客户端请求的 url 地址
      // req.method 获取客户端请求的类型
        
      console.log(`请求的地址:${req.url},请求的方法为:${req.method}`);
    });
    
  • res 响应对象

    在服务器的 request 事件处理函数中,如果想访问与服务器相关的数据属性,可以使用如下的方式:

    server.on('request', function (req, res) {
      // res 是响应对象,它包含了与服务器相关的数据和属性
      // 例如:将字符串发送到客户端
    
      const str = `${req.url} -- ${req.method}`
      
      // res.end() 方法的作用
      // 向客户端发送指定的内容,并结束这次请求的处理过程
      res.end(str)
    })
    
  • 解决中文乱码问题

    当调用 res.end() 方法,向客户端发送中文内容的时候,会出现乱码问题,此时,需要手动设置内容的编码格式:

    const http = require("http");
    
    const server = http.createServer();
    
    server.on("request", (req, res) => {
      const dataStr = `请求路径为:${req.url}, 请求方法的为:${req.method}`;
      // 设置响应头信息
      res.setHeader('Content-Type', 'text/html; charset=utf-8')
      res.end(dataStr);
    });
    
    server.listen(80, () => {
      console.log("server is running at http://127.0.0.1/");
    });
    
1.5 根据不同的 url 响应不同的 html 内容
  • 核心实现步骤

    1、获取请求的 url 地址

    2、设置默认的响应内容为 404 Not found

    3、判断用户请求的是否为 / 或 /index.html 首页

    4、判断用户请求的是否为 /about.html 关于页面

    5、设置 Content-Type 响应头,防止中文乱码

    6、使用 res.end() 把内容响应给客户端

  • 动态响应内容

    const http = require("http");
    
    const server = http.createServer();
    
    server.on("request", (req, res) => {
      const url = req.url;
      let content = "404 Not Found!";
      if (url === "/" || url === "/index.html") {
        content = "<h1>首页</h1>";
      } else if (url === "/about") {
        content = "<h2>关于页</h2>";
      }
      res.setHeader('Content-Type', 'text/html; charset=utf8')
      res.end(content)
    });
    
    server.listen(80, () => {
      console.log('server is running at http://127.0.0.1');
    });
    
1.6 案例 - 实现 clock 时钟的 web 服务器
  • 核心思路

    把文件的实际存放路径,作为每个资源的请求 url 地址。

    在这里插入图片描述

  • 实现步骤

    1、导入需要的模块

    2、创建基本的 web 服务器

    3、将资源的请求 url 地址映射为文件的存放路径

    4、读取文件内容并响应给客户端

    5、优化资源的请求路径

    • 步骤一:导入需要的模块

      // 1.1 导入 http 模块
      const http = require('http')
      // 1.2 导入 fs 文件系统模块
      const fs = require('fs')
      // 1.3 导入 path 路径处理模块
      const path = require('path')
      
    • 步骤二:创建基本的 web 服务器

      // 2.1 创建 web 服务器
      const server = http.createServer()
      
      // 2.2 监听 web 服务器的 request 事件
      server.on('request', (req, res) => {})
      
      // 2.3 启动 web 服务器
      server.listen(80, () => {
        console.log('running……')
      })
      
    • 步骤三:将资源的请求 url 地址映射为文件的存放路径

      server.on('request', (req, res) => {
        // 3.1 获取到客户端请求的 url 地址
        const url = req.url
        // 3.2 把请求的 url 地址,映射为本地文件的存放路径
        const fpath = path.join(__dirname, url)
      })
      
    • 步骤四: 读取文件的内容并响应给客户端

      // 4.1 根据映射过来的文件路径读取文件
      fs.readFile(fpath, 'utf8', (err, dataStr) => {
        // 4.2 读取文件失败后,向客户端响应固定的 "错误消息"
        if (err) return res.end('404 Not Fount')
      
        // 4.3 读取文件成功后,将 "读取成功的内容" 响应给客户端
        res.end(dataStr)
      })
      
    • 步骤五:优化资源的请求路径

      // // 3.2 把请求的 url 地址,映射为本地文件的存放路径
      // const fpath = path.join(__dirname, url)
      
      // 5.1 预定义空白的文件存放路径
      let fpath = ''
      if (url === '/') {
        // 5.2 如果请求的路径是 / ,则手动指定文件的存放路径
        fpath = path.join(__dirname, './clock/index.html')
      } else {
        // 5.3 如果请求的路径不为 / ,则动态拼接文件的存放路径
        fpath = path.join(__dirname, './clock', url)
      }
      
2. 模块化(重要
2.1 什么是模块化

模块化是指解决一个复杂问题时,自顶向下逐层把系统划分成若干模块的过程。对于整个系统来说,模块是可组 合、分解和更换的单元。

  • 现实生活中的模块化

    在这里插入图片描述

在这里插入图片描述

  • 编程领域中的模块化

    编程领域中的模块化,就是遵守固定的规则,把一个大文件拆成独立并互相依赖的多个小模块。

    把代码进行模块化拆分的好处:

    1、提高了代码的复用性

    2、提高了代码的可维护性

    3、可以实现按需加载

  • 模块化规范

    模块化规范就是对代码进行模块化的拆分与组合时,需要遵守的那些规则。

    例如:1、使用什么样的语法格式来引用模块

    ​ 2、在模块中使用什么样的语法格式向外暴露成员

    模块化规范的好处:大家都遵守同样的模块化规范写代码,降低了沟通的成本,极大方便了各个模块之间的相互调用, 利人利己。

2.2 Node.js 中的模块化
  • Node.js 中模块的三个分类

    • 内置模块(内置模块是由 Node.js 官方提供的,例如 fs、path、http 等)
    • 自定义模块(用户创建的每个 .js 文件,都是自定义模块)
    • 第三方模块(由第三方开发出来的模块,并非官方提供的内置模块,也不是用户创建的自定义模块,使用前需要先下载)
  • 加载模块

    使用强大的 require() 方法,可以加载需要的内置模块、用户自定义模块、第三方模块进行使用。例如:

    // 1. 加载内置的 fs 模块,内置模块只需要写名字
    const fs = require('fs')
    
    // 2. 加载用户的自定义模块,自定义模块需要写路径
    const custom = require('./custom.js')
    
    // 3. 加载第三方模块,(使用第三方模块,会需要先下载。后面会进行讲解)
    const moment = require('moment')
    

    注意:使用 require() 方法加载其它模块时,会执行被加载模块中的代码。

    定义自定义模块:

    // 当前这个文件,就是一个用户自定义模块
    console.log('加载了07-m1这个自定义模块');
    

    调用自定义模块:

    // 在使用 require 加载用户自定义模块期间,可以省略 .js 后缀名
    const m1 = require('./07-m1')
    
2.3 Node.js 中的模块作用域
  • 什么是模块作用域

    和函数作用域类似,在自定义模块中定义的变量、方法等成员,只能在当前模块内被访问,这种模块级别的访问限制,叫做模块作用域

    在这里插入图片描述

  • 模块作用域的好处

    防止了全局变量污染的问题

    在这里插入图片描述

2.4 向外共享模块作用域中的成员
  • module 对象

    在每个 .js 自定义模块中都有一个 module 对象,它里面存储了和当前模块有关的信息,打印如下:

    在这里插入图片描述

  • module.exports 对象

    在自定义模块中,可以使用 module.exports 对象,将模块内的成员共享出去,供外界使用。

    外界用 require() 方法导入自定义模块时,得到的就是 module.exports 所指向的对象。

  • 共享成员时的注意点

    使用 require() 方法导入模块时,导入的结果,永远以module.exports指向的对象为准

    // 自定义模块中,默认情况下,module.exports = {}
    const age = 20;
    module.exports.username = "zs";
    module.exports.sayHello = function () {
      console.log("Hello!");
    };
    module.exports.age = age;
    
    // 让 module.exports 指向一个全新的对象
    module.exports = {
      nickname: "甜甜",
      sayHi: function () {},
    };
    
  • exports 对象

由于 module.exports 单词写起来比较复杂,为了简化向外共享成员的代码,Node 提供了 exports 对象。默认情况 下,exports 和 module.exports 指向同一个对象。最终共享的结果,还是以 module.exports 指向的对象为准

const username = 'zs'
module.exports.username = username
exports.age = 15
exports.sayHello = function(){
  console.log('hello');
}
  • exports 和 module.exports 的使用误区

    在这里插入图片描述

    注意:为了防止混乱,建议大家不要在同一个模块中同时使用 exports 和 module.exports

  • Node.js 中的模块化规范

Node.js 遵循了 CommonJS 模块化规范,CommonJS 规定了模块的特性和各模块之间如何相互依赖。

CommonJS 规定:

1、每个模块内部,module 变量代表当前模块。

2、module 变量是一个对象,它的 exports 属性(即 module.exports)是对外的接口。

3、加载某个模块,其实是加载该模块的 module.exports 属性。require() 方法用于加载模块。

3. npm与包
3.1 包
  • 什么是包

    Node.js 中的第三方模块又叫做包。

    就像电脑和计算机指的是相同的东西,第三方模块和包指的是同一个概念,只不过叫法不同。

  • 包的来源

    不同于 Node.js 中的内置模块与自定义模块,包是由第三方个人或团队开发出来的,免费供所有人使用。

    注意:Node.js 中的包都是免费且开源的,不需要付费即可免费下载使用。

  • 为什么需要包

    由于 Node.js 的内置模块仅提供了一些底层的 API,导致在基于内置模块进行项目开发的时,效率很低。

    包是基于内置模块封装出来的,提供了更高级、更方便的 API,极大的提高了开发效率。

    包和内置模块之间的关系,类似于 jQuery 和 浏览器内置 API 之间的关系。

  • 从哪里下载包

    国外有一家 IT 公司,叫做 npm, Inc. 这家公司旗下有一个非常著名的网站: www.npmjs.com/,它是全球最 大的包共享平台,你可以从这个网站上搜索到任何你需要的包,只要你有足够的耐心!

    到目前位置,全球约 1100 多万的开发人员,通过这个包共享平台,开发并共享了超过 120 多万个包 供我们使用。

    npm, Inc. 公司提供了一个地址为 registry.npmjs.org/ 的服务器,来对外共享所有的包,我们可以从这个服务器上下载自己所需要的包。

    注意:

  • 如何下载包

    npm, Inc. 公司提供了一个包管理工具,我们可以使用这个包管理工具,从 registry.npmjs.org/ 服务器把需要 的包下载到本地使用。

    这个包管理工具的名字叫做 Node Package Manager(简称 npm 包管理工具),这个包管理工具随着 Node.js 的安 装包一起被安装到了用户的电脑上。

    大家可以在终端中执行 npm -v命令,来查看自己电脑上所安装的 npm 包管理工具的版本号:

    在这里插入图片描述

3.2 npm 初体验
  • 格式化时间的传统做法

    步骤:

    1、创建格式化时间的自定义模块

    2、定义格式化时间的方法

    3、创建补零函数

    4、从自定义模块中导出格式化时间的函数

    5、导入格式化时间的自定义模块

    6、调用格式化时间的函数

    // 定义格式化时间的方法
    function dateFormat(dtStr) {
      const dt = new Date(dtStr);
    
      const y = dt.getFullYear();
      const m = padZero(dt.getMonth() + 1);
      const d = padZero(dt.getDate());
    
      const hh = padZero(dt.getHours());
      const mm = padZero(dt.getMinutes());
      const ss = padZero(dt.getSeconds());
    
      return `${y}-${m}-${d} ${hh}:${mm}:${ss}`;
    }
    
    // 定义补零函数
    function padZero(n) {
      return n > 9 ? n : '0' + n
    }
    
    module.exports = {
      dateFormat
    }
    
  • 格式化时间的高级做法

    步骤:

    1、使用 npm 包管理工具,在项目中安装格式化时间的包 moment

    2、 使用 require() 导入格式化时间的包

    3、参考 moment 的官方 API 文档对时间进行格式化

    在这里插入图片描述

  • 在项目中安装包的命令

    如果想在项目中安装指定名称的包,需要运行如下的命令:

    npm install 包的完整名称
    

    上述的装包命令,可以简写成如下格式:

    npm i 包的完整名称
    

​ 参考moment文档使用包

  • 初次装包后多了哪些文件

    初次装包完成后,在项目文件夹下多一个叫做 node_modules 的文件夹和 package-lock.json 的配置文件。

    说明:

    1、node_modules 文件夹用来存放所有已安装到项目中的包。require() 导入第三方包时,就是从这个目录中查找并加载包。

    2、package-lock.json 配置文件用来记录 node_modules 目录下的每一个包的下载信息,例如包的名字、版本号、下载地址等。

    注意:程序员不要手动修改 node_modules 或 package-lock.json 文件中的任何代码,npm 包管理工具会自动维护它们。

  • 安装指定版本的包

    默认情况下,使用 npm install 命令安装包的时候,会自动安装最新版本的包。如果需要安装指定版本的包,可以在包 名之后,通过 @ 符号指定具体的版本,例如:

    npm i moment@2.22.2
    
  • 包的语义化版本规范

    包的版本号是以”点分十进制“形式进行定义的,总共有三位数字,例如 2.24.0

    其中每一位数字所代表的的含义如下:

    • 第1位数字:大版本(底层重构)
    • 第2位数字:功能版本(新增功能)
    • 第3位数字:Bug修复版本(日常修复bug)

    版本号提升的规则:只要前面的版本号增长了,则后面的版本号归零。