R语言机器学习方法分析二手车价格影响因素

141 阅读2分钟

原文链接:tecdat.cn/?p=34238

原文出处:拓端数据部落公众号

分析师:Siming Yan

比较多种机器学习方法优劣性,分析二手车价格影响因素,训练模型预测二手车价格。

任务 / 目标

根据印度二手车交易市场1996-2019年数据,进行清洗,建模,预测。

数据源准备

7253笔交易数据包括汽车属性和交易日期、地点等信息。分析数据构成:

将数据分为NA和非NA组,分析缺失值是否均匀分布:

QQ截图20231110155851.png

对于的因变量“交易价格”,可见其缺失值基本均匀分布。

image.png

图片2.png

其他自变量的缺失值也基本均匀分布。

特征转换

对一些因变量进行dummy variable转换。对大数值变量如引擎容量,已行驶的公里数进行log transformation。

划分训练集和测试集

75% training data, 25 test data. RMSE作为衡量模型精度的标准。

image.png

建模

10 folds Validation when training models to choose best model tuning parameters .

image.png

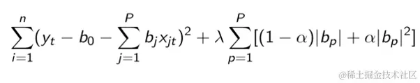
1. Linear Regression with mixing Lasso & Ridge Penalty:

image.png

包含三种模型的混合预测。

image.png

Best tune: Alpha 0.25, lambda .053. RMSE 5.332

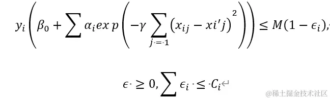
1.    Support Vector Machines with Radial Basis Function Kernel

image.png

image.png

image.png

Best tune: Cost(M) = 10.

image.png

image.png

1. Random Forests:

image.png

随着随机选定的因变量数量提高,10 folds Cross Validation所展示的拟合效果也有波折地逐渐提高。

1.    Stochastic Gradient Boosting Machine

image.png

调整的参数为树深,树层数达到6时拟合效果最好。

image.png

image.png

模型优化

各个模型都进行了调参过程。主要依据为10 folds cross validation

结果

在此案例中,Stochastic Gradient Boosting Machine 所得到的RMSE值最小,预测效果最好。

image.png

预测结果仅作为参考一个权重值,还需要专家意见,按照一定的权重来计算。

以下为预测集和测试集的部分展示:

image.png

关于分析师

image.png

在此对Siming Yan对本文所作的贡献表示诚挚感谢,他专注数据采集,数据分析,机器学习领域。擅长R语言、Python、SQL、Tableau。